Đề thi học sinh giỏi lớp 12 THPT tỉnh Hải Dương năm học 2011 - 2012 môn Toán (Vòng 2) - Có đáp án
Vndoc.com xin gửi đến các bạn: Đề thi học sinh giỏi lớp 12 THPT tỉnh Hải Dương năm học 2011 - 2012 môn Toán (Vòng 2) - Có đáp án.
Đề thi học sinh giỏi môn Toán:
SỞ GIÁO DỤC VÀ ĐÀO TẠO
|
KÌ THI CHỌN HỌC SINH GIỎI TỈNH
|
Thời gian làm bài: 180 phút (không kể thời gian giao đề)
Câu 1 (2 điểm)
a) Cho hàm số y = x2 + 2mx - 3m và hàm số y = -2x + 3. Tìm m để đồ thị các hàm số đó cắt nhau tại hai điểm phân biệt và hoành độ của chúng đều dương.
b) Giải bất phương trình: ![]()
Câu 2 (2 điểm)
a) Giải phương trình: ![]()
b) Giải phương trình: ![]()
Câu 3 (2 điểm)
a) Trong mặt phẳng tọa độ Oxy cho điểm M(1; 4). Đường thẳng d qua M, d cắt trục hoành tại A (hoành độ của A dương), d cắt trục tung tại B (tung độ của B dương). Tìm giá trị nhỏ nhất của diện tích tam giác OAB.
b) Trong mặt phẳng tọa độ Oxy cho đường tròn (C): (x - 2)2 + (y + 3)2 = 9 và điểm A(1; -2). Đường thẳng Δ qua A, Δ cắt (C) tại M và N. Tìm giá trị nhỏ nhất của độ dài đoạn thẳng MN.
Câu 4 (3 điểm)
a) Chứng minh rằng tứ giác lồi ABCD là hình bình hành khi và chỉ khi AB2 + BC2 + CD2 + DA2 = AC2 + BD2
b) Tìm tất cả các tam giác ABC thỏa mãn:
(trong đó AB=c; AC=b; đường cao qua A là ha).
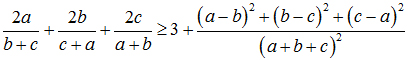
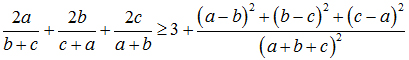
Câu 5 (1 điểm)
Cho a, b, c là các số thực dương. Chứng minh rằng: