Đề thi Olympic môn Toán lớp 9 - Phòng GD Đức Thọ tỉnh Hà Tĩnh
PHÒNG GIÁO DỤC VÀ ĐÀO TẠO
|
ĐỀ THI OLYMPIC TOÁN LỚP 9
|
Bài 1:
a. Giải phương trình: ![]()
b. Với giá trị nào của tham số a thì phương trình sau có nghiệm: ![]()
Bài 2:
a. Tìm GTNN của biểu thức: ![]()
b. Tìm số thực a để phương trình sau có nghiệm nguyên: x2 - ax + a + 2 = 0
Bài 3:
a. Chứng minh rằng đường thẳng (d) có phương trình (m - 3)x - (m - 2)y + m - 1 = 0 (m là tham số) luôn đi qua một điểm cố định A. Tìm tọa độ A
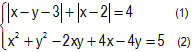
b. Giải hệ phương trình sau: 
Bài 4:
Cho ΔABC đều cố định nội tiếp trong đường tròn (O). Đường thẳng d thay đổi luôn đi qua A và cắt cung nhỏ AB tại điểm E (E # A). Đường thẳng d cắt hai tiếp tuyên tại B và C của đường tròn (O) lần lượt tại M và N, MC cắt BN tại F. Chứng minh rằng:
a. ΔCAN ~ ΔBMA và ΔMBC ~ ΔBCN
b. Tứ giác BMEF nội tiếp được đường tròn
c. Chứng minh rằng đường thẳng EF luôn đi qua một điểm cố định khi d thay đổi
Bài 5:
Cho a, b, c > 0. Chứng minh rằng:![]()