Đề thi Olympic môn Toán lớp 8 - Phòng GD Đức Thọ tỉnh Hà Tĩnh
PHÒNG GIÁO DỤC VÀ ĐÀO TẠO
|
ĐỀ THI OLYMPIC TOÁN LỚP 8
|
Câu 1:
Cho biểu thức: 
a. Tìm điều kiện x, y để giá trị của A được xác định
b. Rút gọn A
c. Nếu x, y là các số thực thỏa mãn: 3x2 + y2 + 2x - 2y = 1, hãy tìm các giá trị nguyên dương của A?
Câu 2:
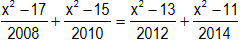
a. Giải phương trình sau: ![]()
b. Tìm các số x, y, z biết x2 + y2 + z2 = xy = yz + zx và x2012 + y2012 + z2012 = 32013
Câu 3:
a. Cho phương trình
, với m là tham số. Tìm m để phương trình có nghiệm dương
b. Chứng minh rằng nếu a + b + c ≥ 3 thì a3 + b3 + c3 ≤ a4 + b4 + c4
Câu 4:
Cho đoạn thẳng AB, gọi O là trung điểm của AB. Vẽ về một phía của AB các tia Ax, By vuông góc với điểm C trên tia Ax, điểm D trên tia by sao cho góc COD = 90o
a. Chứng minh rằng ΔACO ~ ΔBOD và ΔOCD ~ ΔBOD
b. Kẻ OI vuông góc (I thuộc CD), gọi K là giao điểm của AD và BC. Chứng minh rằng IK // AC.
c Gọi E là giao ddierm của OD với IK. Chứng minh rằng IE = BD
Câu 5:
Cho ![]()
So sánh S với ![]()