Đề thi thử đại học môn Toán năm 2014 tỉnh Thanh Hóa
Đề thi đại học môn Toán khối A
SỞ GIÁO DỤC VÀ ĐÀO TẠO
|
ĐỀ THI KHẢO SÁT CHẤT LƯỢNG LẦN THỨ NHẤT
|
I. PHẦN CHUNG CHO TẤT CẢ THÍ SINH (7,0 điểm)
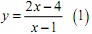
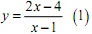
Câu 1 (2,0 điểm): Cho hàm số: ![]()
1. Khảo sát sự biến thiên và vẽ đồ thị (C) của đồ thị hàm số (1).
2. Viết phương trình tiếp tuyến của (C) tại điểm M nằm trên (C) có hoành độ lớn hơn 1; biết rằng tiếp tuyến cắt trục hoành, trục tung lần lượt tại hai điểm phân biệt A, B sao cho: ![]()
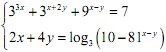
Câu 2 (1,0 điểm). Giải phương trình:
![]()
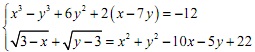
Câu 3 (1,0 điểm). Giải hệ phương trình:

Câu 4 (1,0 điểm). Tính giới hạn:
![]()
Câu 5 (1,0 điểm).
Cho hình chóp S.ABCD có đáy là hình thang vuông tại A và D; SA vuông góc với mặt đáy (ABCD); AB = 2a; AD = CD = a. Góc giữa mặt phẳng (SBC) và mặt đáy (ABCD) là 60o. Mặt phẳng (P) đi qua CD và trọng tâm G của tam giác SAB cắt các cạnh SA, SB lần lượt tại M, N. Tính thể tích khối chóp S.CDMN theo a.
Câu 6 (1,0 điểm).
Cho a, b, c là các số dương thỏa mãn 2(a2 + b2 + c2) = ab + bc + ca + 3. Tìm giá trị lớn nhất của:
![]()
II. PHẦN RIÊNG (3,0 điểm): Thí sinh chỉ được làm một trong hai phần riêng (phần A hoặc phần B)
A. Theo chương trình Chuẩn
Câu 7.a (1,0 điểm). Trong mặt phẳng tọa độ Oxy, cho tam giác ABC với A(1; 2), B(3; 4) và đỉnh C nằm trên đường thẳng d: 2x - y + 4 = 0. Viết phương trình đường tròn ngoại tiếp tam giác ABC biết đỉnh C có tung độ dương và diện tích tam giác ABC bằng 2.
Câu 8.a (1,0 điểm). Trong không gian Oxyz, cho hai điểm A(1; 2; -1) và B(-2; 1; 3). Tìm tọa độ điểm C trên trục Ox sao cho tam giác ABC vuông tại C.
Câu 9.a (1,0 điểm). Cho n là số nguyên dương thỏa mãn
. Tìm hệ số của x7 trong khai triển (1 - 2x3)(2 + x)n.
B. Theo chương trình Nâng cao
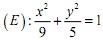
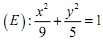
Câu 7.b (1,0 điểm). Trong mặt phẳng tọa độ Oxy, cho elip
với hai tiêu điểm F1, F2 (hoành độ của F1 âm). Tìm tọa độ điểm M thuộc elip (E) sao cho góc MF1F2 = 60o.
Câu 8.b (1,0 điểm). Trong không gian Oxyz, cho bốn điểm A(1; 2; 1), B(-2; 1; 3), C(2; -1; 1), D(0; 3; 1). Chứng minh A, B, C, D là bốn đỉnh của một tứ diện. Tính thể tich khối tứ diện đó.
Câu 9.b (1,0 điểm). Giải hệ phương trình:
