Đề thi thử đại học năm 2014 trường THPT chuyên Nguyễn Đình Chiểu
Đề thi thử đại học môn Toán
Trường THPT chuyên
|
ĐỀ THI THỬ ĐẠI HỌC VÀ CAO ĐẲNG NĂM 2014 LẦN 1
|
I. PHẦN CHUNG CHO TẤT CẢ THÍ SINH (7,0 điểm)
Câu 1 (2 điểm) Cho hàm số y = -2x3 + 6x + 2 có đồ thị là (C).
1) Khảo sát sự biến thiên và vẽ đồ thị (C) của hàm số.
2) Tìm m để đường thẳng d: y = 2mx - 2m + 6 cắt đồ thị (C) tại ba điểm phân biệt A, B, C sao cho tổng hệ số góc của các tiếp tuyến với (C) tại A, B, C bằng - 6.
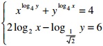
Câu 2 (1 điểm) Giải phương trình
![]()
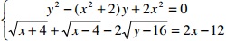
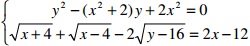
Câu 3 (1 điểm) Giải hệ phương trình
![]()
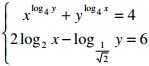
Câu 4 (1 điểm) Tính tích phân
![]()
Câu 5 (1 điểm) Cho hình chóp S.ABCD có đáy ABCD là hình chữ nhật tâm I với AB = 2a√a, BC = 2a. Biết chân đường cao H hạ từ đỉnh S xuống đáy ABCD trùng với trung điểm DI và SB hợp với đáy ABCD một góc 60o. Tính thể tích khối chóp S.ABCD và khoảng cách từ H đến (SBC)
Câu 6 (1 điểm) Cho các số thực x, y với x2 + y2 = 1. Tìm giá trị nhỏ nhất của biểu thức P = x6 + 4y6
PHẦN RIÊNG (3,0 điểm): Thí sinh chỉ được làm một trong hai phần (phần A hoặc phần B)
A. Theo chương trình Chuẩn
Câu 7.a (1,0 điểm) Trong mặt phẳng toạ độ Oxy, cho tam giác ABC với A(3; 0), đường cao từ đỉnh B có phương trình x + y + 1 = 0, trung tuyến từ đỉnh C có phương trình 2x - y - 2 = 0. Viết phương trình đường tròn ngoại tiếp tam giác ABC.
Câu 8.a (1,0 điểm) Trong không gian Oxyz cho A(3; 1; 1); B(5; 0; 1) và C(1; - 2; -1). Tìm điểm M thuộc mặt phẳng (Oxy) sao cho AB ⊥ MC và diện tích tam giác ABM bằng 3/2.
Câu 9.a (1,0 điểm) Tìm các số hạng là số nguyên trong khai triển nhị thức
với n là số tự nhiên.
B. Theo chương trình Nâng cao
Câu 7.b (1,0 điểm) Trong mặt phẳng toạ độ Oxy, cho đường tròn (C): x2 + y2 - 4x - 6y + 3 = 0 có tâm là I và đường thẳng d: x - 2y - 11 = 0. Tìm hai điểm A và B trên đường tròn (C) sao cho AB song song với đường thẳng d và tam giác IAB là tam giác vuông cân.
Câu 8.b (1,0 điểm) Trong không gian Oxyz, cho tứ diện ABCD, biết B(-1; 0; 2); C(-1; 1; 0); D(2; 1; -2), vectơ OA cùng phương với vectơ u(0; 1; 1) và thể tích tứ diện ABCD bằng 5/6. Tìm tọa độ điểm A .
Câu 9.b (1,0 điểm) Giải hệ phương trình
