Đề thi thử tốt nghiệp THPT năm 2013 - môn Toán (Đề 3)
ĐỀ THI THỬ TỐT NGHIỆP MÔN TOÁN NĂM 2012 - 2013
ĐỀ SỐ 3
I. PHẦN CHUNG CHO TẤT CẢ THÍ SINH (7,0 điểm)
Câu 1 (3,0 điểm) Cho hàm số y = x3 + 3x2 -4 có đồ thị (C).
1) Khảo sát sự biến thiên và vẽ đồ thị (C).
2) Cho họ đường thẳng (dm): y = mx - 2m + 6 với m là tham số . Chứng minh rằng (dm) luôn cắt đồ thị (C) tại một điểm cố định I.
Câu 2 (3,0 điểm)
1) Giải bất phương trình: 
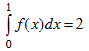
2) Cho
với f là hàm số lẻ. Hãy tính tích phân: 
3) Tìm giá trị lớn nhất và giá trị nhỏ nhất (nếu có) của hàm số: 
Câu 3 (1,0 điểm) Cho hình lăng trụ ABC.A’B’C’ có đáy ABC là tam giác đều cạnh bằng a. Hình chiếu vuông góc của A’ xuống mặt phẳng (ABC) là trung điểm của AB. Mặt bên (AA’C’C) tạo với đáy một góc bằng 450. Tính thể tích của khối lăng trụ này .
II . PHẦN RIÊNG (3 điểm)
A. Theo chương trình chuẩn:
Câu 4a (2,0 điểm): Trong không gian với hệ tọa độ Oxyz . Viết phương trình mặt phẳng (P) qua O, vuông góc với mặt phẳng (Q): x + y + z = 0 và cách điểm M(1; 2; -1) một khoảng bằng
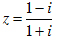
Câu 5a (1,0 điểm): Cho số phức
. Tính giá trị của z2010
B. Theo chương trình nâng cao:
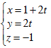
Câu 4b (2,0 điểm): Trong không gian với hệ tọa độ Oxyz , cho đường thẳng (d ):
và mặt phẳng (P): 2x + y - 2z - 1 = 0
1) Viết phương trình mặt cầu có tâm nằm trên (d), bán kính bằng 3 và tiếp xúc với (P).
2) Viết phương trình đường thẳng (a) qua M(0;1;0), nằm trong (P) và vuông góc với đường thẳng (d).
Câu 5b (1,0 điểm): Trên tập số phức, tìm B để phương trình bậc hai z2 + Bz + i = 0 có tổng bình phương hai nghiệm bằng -4i