Đề thi tuyển sinh lớp 10 THPT chuyên tỉnh Quảng Ngãi năm 2012 - 2013
Vndoc.com xin giới thiệu đến các bạn lớp 9, chuẩn bị lên lớp 10: Đề thi tuyển sinh lớp 10 THPT chuyên tỉnh Quảng Ngãi năm 2012 - 2013.
Đề thi tuyển sinh lớp 10 môn Toán:
SỞ GIÁO DỤC VÀ ĐÀO TẠO
|
KỲ THI TUYỂN SINH LỚP 10 THPT CHUYÊN
|
Môn: TOÁN (Hệ chuyên)
Thời gian làm bài: 150 phút (không kể thời gian giao đề)
Bài 1: (2,0 điểm)
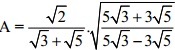
1) Rút gọn biểu thức 
2) Cho hai số x, y thỏa mãn x2 + y2 – 2xy – 2x + 4y – 7 = 0 . Tìm giá trị của x khi y đạt giá trị lớn nhất
Bài 2: (2,0 điểm)
1) Giải phương trình: ![]()
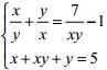
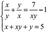
2) Giải hệ phương trình: 
Bài 3: (2,0 điểm)
1) Tìm các số tự nhiên n để n5 + n4 + n + 1 là số nguyên tố.
2) Đặt Sn =1.2 + 2.3 + 3.4 + ... + n(n+1); với n là số nguyên dương. Chứng minh rằng: 3(n + 3)Sn + 1 là một số chính phương.
Bài 4: (3,0 điểm)
Cho điểm A đường tròn (O) bán kính R. Từ A kẻ đường thẳng d bất kỳ không đi qua O, cắt đường tròn O tại B và c (B nằm giữa A và C). Các tiếp tuyến của đường tròn O tại B và c cắt nhau tại D. Kẻ DH vuông góc với AO tại H; DH cắt cung nhỏ BC tại M. Gọi I là giao điểm của DO và BC. Chứng minh rằng:
1) Năm điểm D, B, H, O, C cùng nằm trên một đường tròn và tứ giác DIHA là tứ giác nội tiếp.
2) Đường thẳng AM là tiếp tuyến của đường tròn (O).
3) Tích HB. HC không đổi khi đường thẳng d quay quanh điểm A.
Bài 5: (1,0 điểm)
Trong một hình tròn diện tích bằng 2012 cm2 ta lấy 6037 điểm phân biệt sao cho 4 điểm bất kỳ trong chúng là các đỉnh của một đa giác lồi. Chứng minh rằng tồn tại 3 điểm trong 6037 điểm đã lấy là 3 đỉnh của một tam giác có diện tích không vượt quá 0,5cm2