Đề thi tuyển sinh lớp 10 THPT năm học 2012 - 2013 môn Toán - tỉnh Quảng Ninh
Vndoc.com xin giới thiệu đến các bạn lớp 9, chuẩn bị thi lên lớp 10: Đề thi tuyển sinh lớp 10 THPT năm học 2012 - 2013 môn Toán - tỉnh Quảng Ninh.
Đề thi tuyển sinh lớp 10 môn Toán:
|
SỞ GIÁO DỤC VÀ ĐÀO TẠO ĐỀ THI CHÍNH THỨC |
ĐỀ THI TUYỂN SINH LỚP 10 THPT NĂM HỌC 2012-2013 Môn thi: Toán Thời gian: 120 phút không kể thời gian giao đề Ngày thi 28 tháng 6 năm 2012 |
Câu I. (2,0 điểm)
1) Rút gọn các biểu thức sau:

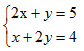
2. Giải hệ phương trình:

Câu II. (2,0 điểm): Cho phương trình (ẩn x): x2– ax – 2 = 0 (*)
1. Giải phương trình (*) với a = 1.
2. Chứng minh rằng phương trình (*) có hai nghiệm phân biệt với mọi giá trị của a.
3. Gọi x1, x2 là hai nghiệm của phương trình (*). Tìm giá trị của a để biểu thức: N = x12 + (x1 + 2)(x2 + 2) + x22 có giá trị nhỏ nhất.
Câu III. (2,0 điểm) Giải bài toán bằng cách lập phương trình hoặc hệ phương trình.
Quãng đường sông AB dài 78 km. Một chiếc thuyền máy đi từ A về phía B. Sau đó 1 giờ, một chiếc ca nô đi từ B về phía A. Thuyền và ca nô gặp nhau tại C cách B 36 km. Tính thời gian của thuyền, thời gian của ca nô đã đi từ lúc khởi hành đến khi gặp nhau, biết vận tốc của ca nô lớn hơn vận tốc của thuyền là 4 km/h.
Câu IV. (3,5 điểm)
Cho tam giác ABC vuông tại A, trên cạnh AC lấy điểm D (D ≠ A, D ≠ C). Đường tròn (O) Đường kính DC cắt BC tại E (E ≠ C).
1. Chứng minh tứ giác ABED nội tiếp.
2. Đường thẳng BD cắt đường tròn (O) tại điểm thứ hai I. Chứng minh ED là tia phân giác của góc AEI.
3. Giả sử tg ABC = căn 2 Tìm vị trí của D trên AC để EA là tiếp tuyến của đường tròn đường kính DC.
CâuV. (0.5 điểm) Giải phương trình:
