Giải Chuyên đề Sinh học 10 Chân trời sáng tạo bài 11
Bài 11: Vi sinh vật trong phân hủy các hợp chất
- Mở đầu trang 70 Chuyên đề Sinh 10 Chân trời
- Hình thành kiến thức 1 mới trang 71 Chuyên đề Sinh 10 Chân trời
- Hình thành kiến thức 2 mới trang 71 Chuyên đề Sinh 10 Chân trời
- Vận dụng trang 71 Chuyên đề Sinh 10 Chân trời
- Hình thành kiến thức 3 mới trang 72 Chuyên đề Sinh 10 Chân trời
- Hình thành kiến thức 4 mới trang 72 Chuyên đề Sinh 10 Chân trời
- Vận dụng trang 72 Chuyên đề Sinh 10 Chân trời
- Bài 1 trang 75 Chuyên đề Sinh 10 Chân trời
- Bài 2 trang 75 Chuyên đề Sinh 10 Chân trời
- Bài 3 trang 75 Chuyên đề Sinh 10 Chân trời
- Bài 4 trang 75 Chuyên đề Sinh 10 Chân trời
- Bài 5 trang 75 Chuyên đề Sinh 10 Chân trời
- Bài 6 trang 75 Chuyên đề Sinh 10 Chân trời
Giải Chuyên đề Sinh học 10 bài 11: Vi sinh vật trong phân hủy các hợp chất là tài liệu hữu ích giúp bạn đọc có thể trau dồi nội dung kiến thức, học tập tốt hơn môn Sinh học 10 nhé.
Mở đầu trang 70 Chuyên đề Sinh 10 Chân trời
Ô nhiễm môi trường hiện nay đang nhận được sự quan tâm rất lớn của toàn thế giới. Đây là một vấn đề nan giải và đáng báo động trên toàn cầu. Ô nhiễm môi trường ngày càng tăng lên và không có dấu hiệu dừng lại. Hãy quan sát môi trường sống xung quanh và cho biết giữa thành thị và nông thôn thì nơi nào bị ô nhiễm nhiều hơn.
Lời giải:
Thành thị thường ô nhiễm hơn so với nông thôn. Bởi vì, thành thị có mật độ dân số cao hơn dẫn đến các hoạt động sinh hoạt, sản xuất được tăng cường khiến cho các loại chất thải (rác thải sinh hoạt, khí thải do các phương tiện giao thông, nước thải công nghiệp,…) phát sinh nhiều hơn.
Hình thành kiến thức 1 mới trang 71 Chuyên đề Sinh 10 Chân trời
Trình bày cơ sở khoa học của ứng dụng vi sinh vật trong việc bảo vệ môi trường.
Lời giải:
Cơ sở khoa học của ứng dụng vi sinh vật trong bảo vệ môi trường: Vi sinh vật hấp thụ và xử lí chất thải bằng cách tấn công từng bước và liên tục lên các hợp chất hữu cơ có trong chất thải để tạo ra các sản phẩm đơn giản là các chất vô cơ.

Hình thành kiến thức 2 mới trang 71 Chuyên đề Sinh 10 Chân trời
Trình bày tóm tắt quá trình phân giải hiếu khí của vi sinh vật.
Lời giải:
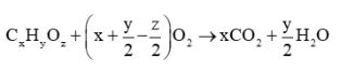
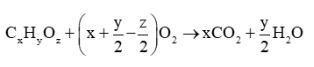
Quá trình phân giải hiếu khí của vi sinh vật: Vi khuẩn hiếu khí phá phá vỡ các chất thải hiệu quả khi được cung cấp oxygen. Phân giải hiếu khí tạo ra một lượng năng lượng lớn, một phần năng lượng được các vi sinh vật sử dụng để tổng hợp và phát triển tạo ra các vi sinh vật mới. Trong suốt quá trình oxi hóa, các chất ô nhiễm được phân chia thành CO2, nước, nitrate, sulfate và sinh khối.

Vận dụng trang 71 Chuyên đề Sinh 10 Chân trời
Nêu ứng dụng của phân giải hiếu khí các chất hữu cơ bằng vi sinh vật trong tự nhiên.
Lời giải:
Ứng dụng của phân giải hiếu khí các chất hữu cơ bằng vi sinh vật trong tự nhiên: Người ta sử dụng vi sinh vật hiếu khí để phân giải các chế phẩm, các chất gây ô nhiễm môi trường thành carbon dioxide, nước, nitrate, sulfate và sinh khối vi sinh vật.
Hình thành kiến thức 3 mới trang 72 Chuyên đề Sinh 10 Chân trời
Kể tên một số chất thải gây ô nhiễm môi trường trong các thành phố lớn.
Lời giải:
Một số chất gây ô nhiễm môi trường trong các thành phố lớn:
- Chất thải sinh hoạt như rác thải thức ăn, nước thải, phân, nước tiểu,…
- Các loại khí độc như CO, CO2, SO2, khói đen, khí đốt… từ các phương tiện giao thông và các nhà máy.
- Nước thải chứa các chất độc hại như kim loại nặng từ các khu dân cư và các khu công nghiệp.
- Các chất thải rắn như các đồ dùng bằng nhựa, thủy tinh, vải vụn, sắt, thép, các dụng cụ y tế,…
Hình thành kiến thức 4 mới trang 72 Chuyên đề Sinh 10 Chân trời
Trình bày tóm tắt quá trình phân giải kị khí của vi sinh vật.
Lời giải:
Quá trình phân giải kị khí xảy ra theo bốn bước:
- (1) Thủy phân: Các chất hữu cơ phức tạp (carbohydrate, protein, chất béo) được vi khuẩn thủy phân thành các phân tử hữu cơ hòa tan đơn giản, sử dụng nước để phân chia các liên kết hóa học giữa các chất.
- (2) Lên men hoặc Acidogenesis: Quá trình phân hủy tinh bột bằng enzyme, vi khuẩn, nấm men, nấm mốc khi không có oxygen.
- (3) Acetogenesis (quá trình acetate hóa): Quá trình chuyển đổi các sản phẩm lên men thành acetate, hydrogen và carbon dioxide do vi khuẩn acetogenic.
- (4) Methanogenesis (quá trình methane hóa): Hình thành khí sinh học từ acetate, hydrogen và carbon dioxide nhờ vi khuẩn men vi sinh methanogenic.

Vận dụng trang 72 Chuyên đề Sinh 10 Chân trời
Nêu ứng dụng của phân giải kị khí các chất hữu cơ bằng vi sinh vật trong tự nhiên.
Lời giải:
Một số ứng dụng của phân giải kị khí các chất hữu cơ bằng vi sinh vật trong tự nhiên:
- Lên men ethanol: Các chất hữu cơ (saccharose, tinh bột,…) được lên men để sản xuất ethanol. Ethanol được thu hồi để làm nguyên liệu sản xuất xăng sinh học, dung môi hòa tan các chất, dùng trong nhiều ngành công nghiệp khác (diệt may, điện tử, in,…).
- Lên men lactic: Vi khuẩn lactic tiến hành phân giải chất hữu cơ thành lactic acid. Người ta thu hồi lactic acid dùng làm nguyên liệu sản xuất mĩ phẩm, làm sữa chua hoặc bảo quản rau, quả.
- Lên men rượu: Được ứng dụng trong công nghiệp sản xuất rượu vang, bia và các loại nước giải khát lên men,…
Bài 1 trang 75 Chuyên đề Sinh 10 Chân trời
Việc xử lí chất thải không đúng cách hay không xử lí sẽ làm môi trường bị ô nhiễm nặng. Hãy giải thích vì sao cây trồng, các loại sinh vật và con người có thể bị nhiễm độc.
Lời giải:
Việc xử lí chất thải không đúng cách hay không xử lí sẽ làm môi trường bị ô nhiễm nặng. Khi đó, cả môi trường đất, nước và không khí đều bị nhiễm độc, chất độc được sinh ra sẽ gây độc cho cây trồng, vật nuôi qua đất, thức ăn, nguồn nước,... do đó làm ảnh hưởng đến sự sinh trưởng, phát triển của mọi sinh vật và con người.
Bài 2 trang 75 Chuyên đề Sinh 10 Chân trời
Phân giải kị khí tạo ra khí methane, carbon dioxide và một lượng nhỏ các chất rắn sinh học. Quá trình kị khí chỉ diễn ra trong điều kiện kị khí nghiêm ngặt, do vậy phản ứng đòi hỏi các chất rắn sinh học thích nghi ở những điều kiện cụ thể. Tại sao sự tăng trưởng sinh khối trong quá trình phân giải này thấp hơn nhiều so với phân giải hiếu khí?
Lời giải:
Sự gia tăng sinh khối trong quá trình phân giải kị khí thấp hơn nhiều so với phân giải hiếu khí vì hiệu suất năng lượng của phân giải kị khí thấp hơn: Cả 2 quá trình phân giải kị khí và phân giải hiếu khí đều diễn ra giai đoạn đường phân nên một phần năng lượng ATP sẽ được tế bào thu nhận từ giai đoạn này. Đối với quá trình phân giải kị khí, quá trình đường phân kết thúc thì quá trình lên men bắt đầu, quá trình này không sản sinh năng lượng. Trong khí đó, giai đoạn hô hấp hiếu khí (chu trình Krebs và chuỗi truyền electron) trong phân giải hiếu khí giải phóng một lượng lớn ATP. Năng lượng được các vi sinh vật sử dụng để tổng hợp và tạo ra sinh khối vi sinh vật. Chính vì vậy, sự tăng trưởng sinh khối trong quá trình phân giải kị khí này thấp hơn nhiều so với phân giải hiếu khí.
Bài 3 trang 75 Chuyên đề Sinh 10 Chân trời
Trong quá trình tổng hợp polysaccharide, chất khởi đầu tổng hợp là chất nào? Hãy trình bày sơ lược cơ chế và giải thích vai trò của chất này.
Lời giải:
- Trong quá trình tổng hợp polysaccharide, chất khởi đầu tổng hợp là ADP - glucose.
- Cơ chế: Các phân tử polysaccharide được tạo ra nhờ sự liên kết của các phân tử glucose bằng liên kết glycosidic.
(Glucose)n + [ADP – glucose] ⟶(Glucose)n + 1 + ADP
Bài 4 trang 75 Chuyên đề Sinh 10 Chân trời
Bằng cách nào vi sinh vật có thể hấp thụ được các chất có kích thước phân tử lớn như protein, tinh bột, lipid, cellulose?
Lời giải:
Cách thức vi sinh vật có thể hấp thụ được các chất có kích thước phân tử lớn như protein, tinh bột, lipid, cellulose: Vi sinh vật tiết ra các enzyme thủy phân ngoại bào như protease, amylase, lipase, cellulase để phân giải các chất có kích thước lớn thành các chất có kích thước nhỏ như amino acid, đường đơn, acid béo. Sau đó, vi sinh vật sẽ hấp thụ các sản phẩm phân giải vào tế bào.
Bài 5 trang 75 Chuyên đề Sinh 10 Chân trời
Những đặc điểm chung của quá trình phân giải vi sinh vật là gì? Hãy cho ví dụ minh họa.
Lời giải:
- Đặc điểm chung của quá trình phân giải vi sinh vật là: Đều phân giải các chất hữu cơ phức tạp thành các chất đơn giản nhờ enzyme và giải phóng năng lượng.
- Ví dụ: Protein bị phân giải thành các amino acid, glucose bị phân giải thành CO2.
Bài 6 trang 75 Chuyên đề Sinh 10 Chân trời
Quá trình phân giải hiếu khí gồm ba giai đoạn:
Giai đoạn 1: Oxi hóa các hợp chất hữu cơ:

Giai đoạn 2: Tổng hợp các tế bào mới:

Giai đoạn 3: Phân hủy nội sinh:
(C5H7NO2)n + 5nO2 → 5nCO2 + nNH3 + 2nH2O
Vi sinh vật hiếu khí sinh trưởng và sinh sản mạnh mẽ để phân hủy các chất hữu cơ thông qua quá trình oxi hóa. Sau phân giải, các chất thải được xử lí sẽ biến thành bùn và lắng xuống đáy. Bùn này có hàm lượng dinh dưỡng cao nên thường được sử dụng làm phân bón cho cây. Em hãy sử dụng các thông tin trên và kiến thức trong bài để chứng minh phân giải hiếu khí có hiệu quả cao hơn phân giải kị khí.