Giải SBT Công nghệ lớp 8 bài 46: Máy biến áp một pha
Giải SBT Công nghệ lớp 8 bài 46: Máy biến áp một pha được VnDoc sưu tầm và đăng tải. Đây là lời giải hay cho các câu hỏi trong Sách BT nằm trong chương trình giảng dạy môn Công nghệ lớp 8. Hi vọng rằng đây sẽ là những tài liệu hữu ích trong công tác giảng dạy và học tập của quý thầy cô và các bạn học sinh. Mời thầy cô cùng các bạn học sinh tham khảo
Giải SBT Công nghệ 8 bài 46: Máy biến áp một pha
- Bài 46.1 trang 89 SBT Công nghệ 8:
- Bài 46.2 trang 89 SBT Công nghệ 8:
- Bài 46.3 trang 89 SBT Công nghệ 8:
- Bài 46.4 trang 89 SBT Công nghệ 8:
- Bài 46.5 trang 89 SBT Công nghệ 8:
- Bài 46.6 trang 89 SBT Công nghệ 8:
- Bài 46.7 trang 89 SBT Công nghệ 8:
- Bài 46.8 trang 90 SBT Công nghệ 8:
- Bài 46.9 trang 90 SBT Công nghệ 8:
- Bài 46.10 trang 90 SBT Công nghệ 8:
Bài 46.1 trang 89 SBT Công nghệ 8:
Khi sử dụng mẫu máy biến áp cần tránh:
A. Để nơi khô ráo, thoáng mát, sạch sẽ
B. Sử dụng điện áp lớn hơn điện áp định mức
C. Sử dụng công suất thấp hơn công suất định mức
D. Sử dụng tần số bằng tần số định mức (50Hz)
Lời giải:
Đáp án: B. Sử dụng điện áp lớn hơn điện áp định mức máy.
Các thiết bị điện, khi sử dụng, không được sử dụng ở điện áp lớn hơn điện áp định mức.
Bài 46.2 trang 89 SBT Công nghệ 8:
Để thay đổi giá trị điện áp của mạng điện, ta dùng thiết bị nào trong các thiết bị sau?
A. Máy biến áp B. Động cơ điện
C. Đèn sợi đốt D. Bàn là
Lời giải:
Đáp án: A. Máy biến áp
Máy biến áp là thiết bị biến đổi điện áp còn các thiết bị khác không có chức năng này.
Bài 46.3 trang 89 SBT Công nghệ 8:
Công thức tính điện áp thứ cấp của máy biến áp là:
A. ![]()
B. ![]()
C. ![]()
D. Cả 3 công thức trên đều sai
Lời giải:
Đáp án:A. ![]()
Bài 46.4 trang 89 SBT Công nghệ 8:
Dây quấn lấy điện ra sử dụng có điện áp U2 gọi là dây quấn:
A. Cao áp B. Thứ cấp
C. Sơ cấp D. Hạ áp
Lời giải:
Đáp án: B. Thứ cấp
Bài 46.5 trang 89 SBT Công nghệ 8:
Trong các bộ phận sau, đâu là bộ phận chính của máy biến áp một pha?
A. Lõi thép và núm điều chỉnh B. Lõi thép cách điện
C. Lõi thép và vỏ máy D. Lõi thép và dây quấn
Lời giải:
Đáp án: D. Lõi thép và dây quấn.
Trong máy biến áp có nhiều bộ phận, nhưng bộ phận chính thể hiện nguyên lí làm việc là lõi thép và dây quấn.
Bài 46.6 trang 89 SBT Công nghệ 8:
Một máy biến áp một pha có điện áp U1=220V, U2=12V, số vòng dây N1= 660 vòng, giá trị của N2 là:
A. 48 vòng B. 12 vòng
C. 36 vòng D. 42,5 vòng
Lời giải:
Đáp án: C. 36 vòng.
![]()
Bài 46.7 trang 89 SBT Công nghệ 8:
Tác dụng của lõi thép biến áp khi máy biến áp làm việc là:
A. Liên hệ về điện áp giữa dây quấn sơ cấp và thứ cấp
B. Dẫn từ cho máy khi làm việc
C. Dẫn điện cho máy biến áp khi làm việc
D. Tăng độ cứng vững của máy biến áp
Lời giải:
Đáp án: B. Dẫn từ cho máy biến áp khi làm việc.
Máy biến áp hoạt động theo nguyên lý cảm ứng điện từ, nên lõi thép làm nhiệm vụ dẫn từ.
Bài 46.8 trang 90 SBT Công nghệ 8:
Hình 46.1 mô tả cấu tạo một máy biến áp. Hãy trình bày cầu tạo và nguyên lý làm việc của máy biến áp một pha theo hình vẽ.

Lời giải:
Đáp án:
Cấu tạo máy biến áp một pha gồm các bộ phận chính sau:
1 - Lõi thép: làm bằng thép kỹ thuật điện ghép lại với nhau tạo thành mạch từ.
2, 3 - Các cuộn dây so và thứ cấp được chế tạo bằng dây điện từ.
4 - Các cực đấu dây vào, ra của biến áp
Nguyên lí làm việc:
Khi cuộn đây sơ cấp nối điện xoay chiều, dòng điện được tạo ra trong cuộn dây sơ cấp, và một từ trường biến thiên trong lõi sắt. Từ trường biến thiên này tạo ra trong cuộn dây thứ cấp một hiệu điện thế thứ cấp. Như vậy, hiệu điện thế sơ cấp có thể làm thay đổi được hiệu điện thế thứ cấp thông qua từ trường. Sự biến đổi này có thể được điều chỉnh qua số vòng dây quấn quanh lõi sắt.
Bài 46.9 trang 90 SBT Công nghệ 8:
Một máy biến áp một pha có: U1=220V; U2=110V; số vòng dây N1=480 vòng; N2=240 vòng.
a) Máy biến áp trên là máy biến áp tăng áp hay giảm áp? Tại sao?
b) Khi điện áp sơ cấp U1 = 110V, nếu không điều chỉnh số vòng dây thì điện áp thứ cấp bằng bao nhiêu?
Lời giải:
Đáp án:
a) Máy biến áp trên là máy biến áp giảm áp.
Giải thích: vì U2<U1.
b)Tính kết quả điện áp thứ cấp.
Công thức tính: U2 = (U1 x N2)/N1
Tính ra kết quả: U2 = (110 x 240)/480 = 55V
Bài 46.10 trang 90 SBT Công nghệ 8:
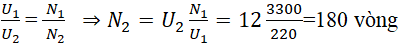
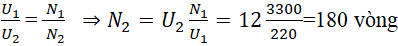
Cho máy biến áp một pha, biến điện áp ở cuộn sơ cấp là 220V, số vòng dây của cuộn sơ cấp là 3300 vòng. Để lấy điện áp ra ở cuộn thứ cấp là 12V thì cuộn thứ cấp phải có bao nhiêu vòng dây?
Lời giải:
Đáp án:
Tóm tắt:
U1=220V.
N1=3300 vòng
U2=12V
N2=?
Bài giải:
Số vòng dây của cuộn thứ cấp là:
Áp dụng công thức:
![]()
....................................
Ngoài Giải SBT Công nghệ lớp 8 bài 46: Máy biến áp một pha. Các bạn học sinh còn có thể tham khảo các môn Toán, Văn, Anh, Hóa... tài liệu ôn tập lớp 8 mà chúng tôi sưu tầm và đăng tải, mời các bạn tải về tham khảo