Giải Tin 10 Bài 17: Biến và lệnh gán KNTT
Giải Tin 10 Bài 17 KNTT
VnDoc.com xin gửi tới bạn đọc bài viết Giải Tin 10 Bài 17: Biến và lệnh gán KNTT. Mời các bạn cùng tham khảo chi tiết bài viết dưới đây.
Luyện tập 1 trang 96 SGK Tin 10 KNTT
Lệnh sau có lỗi gì?

Lời giải
Lệnh bị lỗi ở 123a, cần thêm phép toán ở đây
Luyện tập 2 trang 96 SGK Tin 10 KNTT
Lệnh sau sẽ in ra kết quả gì?
![]()
Lời giải
In ra: đồ rê mi đồ rê mi đồ rê mi pha son la si đô pha son la si đô
Vận dụng 1 trang 96 SGK Tin 10 KNTT
Viết các lệnh để thực hiện việc đổi số giây ss cho trước sang số ngày, giờ, phút, giây, in kết quả ra màn hình.
Ví dụ, nếu ss = 684500 giây = 7 ngày 22 giờ 8 phút 20 giây.
Gợi ý: Sử dụng các phép toán lấy thương nguyên, lấy số dư và các cách đổi sau:
1 ngày = 86400 giây; 1 giờ = 3600 giây; 1 phút = 60 giây.
Lời giải
Có nhiều cách thực hiện bài toán, có thể tham khảo cách làm sau:
ss=684500
ngay=ss//86400
gio=ss//3600-ngay*24
phut=ss//60-ngay*24*60-gio*60
giay=ss-ngay*24*3600-gio*3600-phut*60
print("ss = ", ss, " = ", ngay," ngay ",gio, " phut ",giay, " giay ")

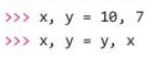
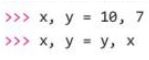
Vận dụng 2 trang 96 SGK Tin 10 KNTT
Hãy cho biết trước và sau khi thực hiện các lệnh sau, giá trị của biến x, y là bao nhiêu? Em có nhận xét gì về kết quả nhận được?

Lời giải
Sau câu lệnh đầu tiên: x = 10, y = 7
Sau câu lệnh thứ 2: x= 7, y = 10
Nhận xét : x và y thay đổi giá trị cho nhau
→ các biến có thể thay đổi giá trị được.
Trên đây VnDoc.com vừa gửi tới bạn đọc bài viết Giải Tin 10 Bài 17: Biến và lệnh gán KNTT. Bài viết đã hướng dẫn bạn đọc trả lời các câu hỏi trong SGK Tin 10 KNTT. Mời các bạn cùng tham khảo thêm tài liệu học tập các môn Toán 10 KNTT, Tiếng Anh 10 KNTT...