Giải VBT Công nghệ 8 bài 32: Vai trò của điện năng trong sản xuất và đời sống
Giải VBT Công nghệ 8 bài 32: Vai trò của điện năng trong sản xuất và đời sống được VnDoc.com sưu tầm và tổng hợp. Lời giải vở bài tập công nghệ 8 này sẽ giúp các bạn học sinh hệ thống lại những kiến thức đã học trong bài, định hướng phương pháp giải các bài tập cụ thể. Ngoài ra việc tham khảo tài liệu còn giúp các bạn học sinh rèn luyện và nâng cao kỹ năng giải bài tập.
Giải VBT Công nghệ lớp 8 bài 32: Vai trò của điện năng trong sản xuất và đời sống
I. Điện năng (Trang 72-vbt Công nghệ 8)
1. điện năng là gì?
- Điện năng là năng lượng của dòng điện
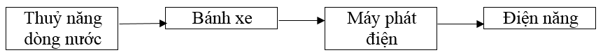
2. Sản xuất điện năng
Em hãy điền các từ hoặc cụm từ thích hợp vào chỗ trống (...) để lập sơ đồ tóm tắt quy trình sản xuất điện năng ở các nhà máy điện
Lời giải:
a) Nhà máy nhiệt điện

b) Nhà máy thuỷ điện

c) Nhà máy điện nguyên tử
Năng lượng nguyên tử chất phóng xa ---------(đun nóng nước)→
Hơi nước----------(quay)→
Tua bin------------(quay)→
Máy phát điện---------(tạo ra)→
Điện năng
- Năng lượng đầu vào của các trạm phát điện dùng năng lượng mặt trời là: mặt trời
- Năng lượng đầu ra của trạm phát điện dùng năng lượng gió là: điện.
3. Truyền tải điện năng
Dựa vào hình 32.4 SGK, em hãy điền vào chỗ trống (...) trong câu sau đây:
Lời giải:
Cấu tạo của đường dây truyền tải điện năng gồm 3 phần tử chính là:
- Dây điện, cột điện, xứ cách điện.
II. Vai trò của điện năng (Trang 72-vbt Công nghệ 8)
- Em hãy nêu các ví dụ về sử dụng điện năng trong:
Lời giải:
Công nghiệp: cung cấp điện cho các nhà máy công nghiệp, các thiết bị sản xuất.
Nông nghiệp: các công cụ của nông nghiệp đều phải dùng điện.
Giao thông vận tải: đèn báo tín hiệu, camera kiểm soát giao thông, ...
Y tế, giáo dục: Cơ sở bệnh viện, đèn điện, các trang thiết bị y tế, máy móc: siêu âm, nội soi, máy tính, ...
Văn hóa, thể thao: Cơ sở vật chất phục vụ khán giả và vận động viên
Thông tin: sử dụng máy tính, loa, thông tin liên lạc.
Trong gia đình: rất nhiều vật dụng cần dùng điện: nồi cơm, lò vi sóng, bếp từ.
- Vai trò của điện năng trong sản xuất và đời sống
Câu 1 (Trang 72-Vbt công nghệ 8):
Chức năng của nhà máy điện là gì?
Lời giải:
- Biến đổi các dạng năng lượng: nhiệt năng, thủy năng, năng lượng nguyên tử... thành điện năng.
Câu 2 (Trang 72-Vbt công nghệ 8):
Chức năng của đường dây dẫn điện là gì?
Lời giải:
- Truyền tải điện năng từ nhà máy điện đến nơi tiêu thụ
Câu 3 (Trang 72-Vbt công nghệ 8):
Điện năng có vai trò gì trong sản xuất và đời sống? Hãy lấy ví dụ ở gia đình và địa phương em.
Lời giải:
- Điện năng là nguồn động lực, nguồn năng lượng cho sản xuất và đời sống.
- Các hộ gia đình đều cần điện năng để phục vụ các nhu cầu cơ bản: thắp sáng, nấu cơm, dọn dẹp nhà cửa, … tất cả mọi hoạt động con người đều cần nhờ điện năng.
....................................
Ngoài Giải VBT Công nghệ 8 bài 32: Vai trò của điện năng trong sản xuất và đời sống. Các bạn học sinh còn có thể tham khảo các đề thi học học kì 1 lớp 8, đề thi học học kì 2 lớp 8 các môn Toán, Văn, Anh, Hóa, Lý, Địa, Sinh, tài liệu ôn tập lớp 8 mà chúng tôi sưu tầm và đăng tải, mời các bạn tải về tham khảo