Liên kết Hydrogen và tương tác Van der Waals
1. Liên kết hydrogen
- Nước và hydrogen sulfide (H2S) có cấu trúc phân tử tương tự nhau. Tuy H2S có kích thước phần tử lớn hơn nhưng nhiệt độ sôi của hợp chất này (-60°C) thấp hơn nhiều so với nước (100°C). Điều này có thể được giải thích bởi sự phân cực khác nhau của liên kết trong mỗi phân tử.

Cấu trúc phân tử của nước và hydrogen sulfide
- Lực hút tĩnh điện giữa nguyên tử H mang một phần điện tích dương (linh động) của phân tử H2O này với nguyên tử oxygen mang một phần điện tích âm của phân tử H2O khác, tạo thành liên kết yếu giữa các phần tử nước, gọi là liên kết hydrogen, thường được biểu diễn bằng dấu ba chấm (...).

Liên kết hydrogen giữa các phân tử nước

Liên kết hydrogen giữa các phần tử ammonia
Liên kết hydrogen là một loại liên kết yếu, được hình thành giữa nguyên tử H (đã liên kết với một nguyên tử có độ âm điện lớn, thường là F, O, N) với một nguyên tử khác có độ âm điện lớn (thường là F, O, N) còn cặp electron hóa trị chưa tham gia liên kết.
2. Vai trò, ảnh hưởng của liên kết hydrogen tới tính chất vật lí của nước
So với các hợp chất có cấu trúc tương tự, các hợp chất có liên kết hydrogen đều có nhiệt độ sôi cao hơn do tạo được liên kết hydrogen liên phân tử và tan tốt hơn trong nước do tạo được liên kết hydrogen với các phân tử nước
Nước là một hợp chất có nhiệt độ nóng chảy và nhiệt độ sôi cao hơn nhiều so với hợp chất có cùng cấu trúc phân tử nhưng không tạo được liên kết hydrogen giữa các phân tử với nhau.
Ngoài ra, nước còn là một dung môi tốt, không chỉ hòa tan được nhiều hợp chất ion mà còn hòa tan được nhiều hợp chất có liên kết cộng hóa trị phân cực. Đặc biệt các hợp chất có thể tạo liên kết hydrogen với nước thường tan tốt trong nước.

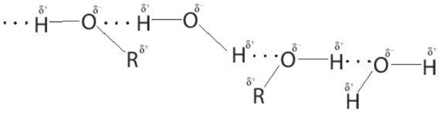
Liên kết hydrogen giữa alcohol và nước

Liên kết hydrogen giữa ammonia và nước
Nước ở trạng thái rắn có thể tích lớn hơn khi ở trạng thái lỏng. Đó là do nước đá có cấu trúc tinh thể phân tử với 4 phân tử H2O phân bố ở 4 đỉnh của hình tứ diện đều, bên trong là cấu trúc rỗng. Điều này giải thích tại sao nước đá nổi lên trên nước lỏng.

Cấu trúc của tinh thể phân tử nước đá
Nhờ có liên kết hydrogen mà ở điều kiện thường nước ở thể lỏng, có nhiệt độ sôi cao (100°C).
II. Tương tác Van der Waals
1. Tương tác van der Waals (van đơ Van)
Trong phân tử, các electron không ngừng chuyển động. Khi các electron di chuyển, tập trung về một phía bất kì của phân tử sẽ hình thành nên các lưỡng cực tạm thời.

Lưỡng cực tạm thời được hình thành do sự phân bố không đồng đều của các electron trong phân tử
Các phân tử có lưỡng cực tạm thời cũng có thể làm các phân tử lân cận xuất hiện các lưỡng cực cảm ứng. Do đó, các phân tử có thể tập hợp tạo thành một mạng lưới với các tương tác lưỡng cực cảm ứng, được gọi là tương tác van der Waals.

Mạng lưới tương tác lưỡng cực cảm ứng được tạo thành bởi lưỡng cực tạm thời
Tương tác van der Waals là lực tương tác yếu giữa các phân tử, được hình thành do sự xuất hiện của các lưỡng cực tạm thời và lưỡng cực cảm ứng.
2. Ảnh hưởng của tương tác van der Waals đến nhiệt độ nóng chảy và nhiệt độ sôi các chất
Tương tác van der Waals làm tăng nhiệt độ nóng chảy và nhiệt độ sôi của các chất. Khi khối lượng phân tử tăng, kích thước phân tử tăng thì tương tác van der Waals tăng.
Ví dụ: Theo chiều tăng dần của điện tích hạt nhân nguyên tử trong nhóm VIIIA, bán kính nguyên tử tăng đồng thời khối lượng nguyên tử tăng ⇒ Tương tác van der Waals tăng ⇒ Nhiệt độ nóng chảy và nhiệt độ sôi tăng.
| Khí hiếm | He | Ne | Ar | Xe | Kr | Rn |
| Nhiệt độ nóng chảy | -272oC | -247oC | -189oC | -157oC | -119oC | -71oC |
| Nhiệt độ sôi | -269oC | -246oC | -186oC | -152oC | -108oC | -62oC |
Nhiệt độ sôi và nhiệt độ nóng chảy của các khí hiếm
Ví dụ 1: Hãy giải thích sự khác nhau về nhiệt độ sôi của butane và isobutane.
Hướng dẫn giải
Đồng phân mạch không phân nhánh butane có nhiệt độ sôi cao hơn so với đồng phân mạch phân nhánh isobutan do diện tích tiếp xúc giữa các phân tử butane lớn hơn nhiều so với isobutane.
Ví dụ 2: Ở áp suất khí quyển, nhiệt độ sôi của H2O là 1000C, CH4 là -161,580C, H2S là -60,280C. Vì sao các chất trên có nhiệt độ sôi khác nhau.
Hướng dẫn giải
Liên kết hydrogen được hình thành giữa nguyên tử hydrogen với các nguyên tử có độ âm điện lớn và các nguyên tử này phải có 1 ít nhất một cặp electron hóa trị chưa tham gia liên kết.
Do O và S đều còn 2 cặp electron hóa trị chưa tham gia liên kết, C không còn cặp electron hóa trị tự do nên H2O và H2S có thể tạo liên kết hydrogen trong phân tử, còn CH4 thì không.
→ Nhiệt độ sôi của H2O và H2S lớn hơn CH4.
Do độ âm điện của O lớn hơn S nên liên kết hydrogen trong phân tử H2O mạnh hơn trong phân tử H2S.
→ Nhiệt độ sôi của H2O lớn hơn H2S.