Lý thuyết Công nghệ 12 Kết nối tri thức bài 19
VnDoc xin giới thiệu bài Lý thuyết Công nghệ 12 Kết nối tri thức bài 19: Khuếch đại thuật toán có nội dung lý thuyết trong chương trình sách mới. Thông qua đây các em học sinh tham khảo và chuẩn bị cho bài học sắp tới.
Bài: Khuếch đại thuật toán
I. Giới thiệu chung
1. Khái niệm
- Khái niệm: Là mạch tích hợp có hai lối vào, một lối ra và hệ số khuếch đại lớn.
- Kí hiệu:

2. Nguyên lí làm việc
- Khuếch đại sự chênh lệch giữa điện áp lỗi vào đảo và không đảo, sau đó kết quả đưa tới lối ra.
- Hệ số khuếch đại thuật toán lớn, có thể tới 106.

II. Ứng dụng cơ bản của khuếch đại thuật toán
1. Khuếch đại đảo
- Tín hiệu lối ra ngược pha với tín hiệu lối vào
- Sơ đồ:

Quảng cáo
- Công thức:
\(U_{ra}=−\frac{R_2}{R_1}U_{vào}\)
\(G=\frac{R_2}{R_1}\)
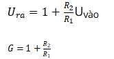
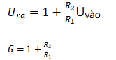
2. Khuếch đại không đảo
- Tín hiệu lối ra cùng pha với tín hiệu lối vào.
- Sơ đồ:

- Công thức:

3. Cộng đảo
- Sơ đồ:

- Công thức:

4. Cộng không đảo
- Sơ đồ:

- Công thức:

5. Trừ
- Sơ đồ:

- Công thức:

6. So sánh
- Mạch so sánh đảo:
+ Sơ đồ:

+ Công thức:

- Mạch so sánh không đảo:
+ Sơ đồ:

- Công thức:

>>> Bài tiếp theo: Lý thuyết Công nghệ 12 Kết nối tri thức bài 21