Lý thuyết Công nghệ 12 Kết nối tri thức bài 3
VnDoc xin giới thiệu bài Lý thuyết Công nghệ 12 Kết nối tri thức bài 3: Mạch điện xoay chiều ba pha có nội dung lý thuyết trong chương trình sách mới. Thông qua đây các em học sinh tham khảo và chuẩn bị cho bài học sắp tới.
Bài: Mạch điện xoay chiều ba pha
I. Dòng điện xoay chiều ba pha
1. Dòng điện xoay chiều một pha
- Khái niệm: Là dòng điện biến thiên tuần hoàn theo dạng hình sin.
i = Imsinωt +ψ
Im: giá trị dòng điện cực đại (A)
ω: tốc độ góc (rad/s)
ψ: góc pha ban đầu (rad)

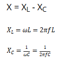
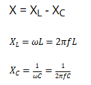
R: điện trở (Ω)
X: điện kháng (Ω)

2. Dòng điện xoay chiều ba pha
a) Khái niệm
- Khái niệm: Dòng điện xoay chiều ba pha được tạo ra trong mạch điện ba pha.
- Mạch ba pha:
+ Nguồn điện ba pha
+ Đường dây truyền tải ba pha
+ Tải điện ba pha
- Ứng dụng: trong sản xuất và đời sống.
b) Nguyên lí tạo ra dòng điện xoay chiều ba pha:
- Sử dụng nguồn điện xoay chiều ba pha được tạo ra từ máy phát điện ba pha.
- Cấu tạo máy phát điện xoay chiều ba pha:
+ Phần tĩnh (stator): lõi thép có rãnh, có 3 cuộn dây có cùng số vòng, cùng kích thước, lệch pha nhau góc 120o:
• Cuộn AX: pha A
• Cuộn BY: pha B
• Cuộn CZ: pha C
+ Phần quay (rotor): nam châm điện. Nam châm quay với tốc độ góc ω không đổi làm xuất hiện sức điện động xoay chiều một pha bằng nhau về biên độ, tần số nhưng lệch pha nhau góc 2π3 rad.
II. Cách nối nguồn và tải ba pha
- Nối hình sao (Y): Ba điểm cuối X, Y, Z của các pha được nối với nhau tạo thành điểm trung tính O.
- Nối hình tam giác (∆): Điểm đầu của pha này được nối với điểm cuối của pha kia tạo thành hình tam giác.
1. Cách nối nguồn điện ba pha
Nối hình sao hoặc hình tam giác.

2. Cách nối tải ba pha
Nối hình sao hoặc hình tam giác

III. Mạch điện ba pha
Nguồn và tải ba pha được kết nối với nhau thông qua các đường dây ba pha tạo thành mạch điện ba pha.
1. Sơ đồ mạch điện ba pha
- Dòng điện dây (Id): dòng điện chạy trong dây pha.
- Dòng điện pha (Ip): dòng điện chạy trong mỗi pha.
- Điện áp dây (Ud): điện áp giữa hai dây pha.
- Điện áp pha (Up): điện áp giữa điểm đầu và điểm cuối mỗi pha hoặc giữa dây pha và dây trung tính.

2. Mạch điện ba pha đối xứng
- Khái niệm: là mạch điện có nguồn đối xứng và tải đối xứng.
+ Nguồn đối xứng: có biên độ và tần số bằng nhau, lệch pha nhau
\(\frac{2\pi}{3}rad.\)
+ Tải đối xứng: ZA = ZB = ZC
- Tải nối hình sao: Id = Ip; Ud = √3Up
- Tải nối tam giác: Id = √3Ip; Ud = Up
>>> Bài tiếp theo: Lý thuyết Công nghệ 12 Kết nối tri thức bài 4