Giao diện mới của VnDoc Pro: Dễ sử dụng hơn - chỉ tập trung vào lớp bạn quan tâm. Vui lòng chọn lớp mà bạn quan tâm: Lưu và trải nghiệm
Đóng
Điểm danh hàng ngày
  • Hôm nay +3
  • Ngày 2 +3
  • Ngày 3 +3
  • Ngày 4 +3
  • Ngày 5 +3
  • Ngày 6 +3
  • Ngày 7 +5
Bạn đã điểm danh Hôm nay và nhận 3 điểm!
Nhắn tin Zalo VNDOC để nhận tư vấn mua gói Thành viên hoặc tải tài liệu Hotline hỗ trợ: 0936 120 169

Đề thi giữa học kì 2 môn Toán lớp 10 trường THPT Đồng Đậu, Vĩnh Phúc năm học 2016 - 2017

Đóng
Bạn đã dùng hết 1 lần làm bài Trắc nghiệm miễn phí. Mời bạn mua tài khoản VnDoc PRO để tiếp tục! Tìm hiểu thêm
Mô tả thêm:

Đề thi giữa học kì 2 môn Toán lớp 10

Đề thi giữa học kì 2 môn Toán lớp 10 trường THPT Đồng Đậu, Vĩnh Phúc năm học 2016 - 2017 sẽ giúp các em ôn lại phần kiến thức đã được học và chuẩn bị tốt cho kì thi sắp tới. Các em hãy làm bài chăm chỉ để luôn giành được điểm số cao nhé. Chúc các em học giỏi!

Làm thêm: Đề thi giữa học kì 2 môn Ngữ văn lớp 10 trường THPT Đồng Đậu, Vĩnh Phúc năm học 2016 - 2017

 

  • Thời gian làm: 90 phút
  • Số câu hỏi: 10 câu
  • Số điểm tối đa: 10 điểm
Bắt đầu làm bài
Bạn còn 1 lượt làm bài tập miễn phí. Hãy mua tài khoản VnDoc PRO để học không giới hạn nhé! Bạn đã HẾT lượt làm bài tập miễn phí! Hãy mua tài khoản VnDoc PRO để làm Trắc nghiệm không giới hạn và tải tài liệu nhanh nhé!
Mua ngay Đổi điểm
Trước khi làm bài bạn hãy
  • 1 Ôn tập kiến thức đã nêu trong phần Mô tả thêm
  • 2 Tìm không gian và thiết bị phù hợp để tập trung làm bài
  • 3 Chuẩn bị sẵn dụng cụ cần dùng khi làm bài như bút, nháp, máy tính
  • 4 Căn chỉnh thời gian làm từng câu một cách hợp lý
  • Câu 1: Nhận biết
    Câu 1: Xác định tập hợp A ∩ B với: Đề thi giữa học kì 2 môn Toán lớp 10 có đáp án
    Đáp án là:
    Câu 1: Xác định tập hợp A ∩ B với: Đề thi giữa học kì 2 môn Toán lớp 10 có đáp án
  • Câu 2: Nhận biết
    Câu 2: Xác định parabol (P): y = ax2 + bx + c, biết (P) đi qua 2 điểm A(0; -3) và B(-2; 5).
    Đáp án là:
    Câu 2: Xác định parabol (P): y = ax2 + bx + c, biết (P) đi qua 2 điểm A(0; -3) và B(-2; 5).
  • Câu 3: Nhận biết
    Câu 3: Giải phương trình: |4x + 1| = x2 + 2x -2.
    Đáp án là:
    Câu 3: Giải phương trình: |4x + 1| = x2 + 2x -2.
  • Câu 4: Nhận biết
    Câu 4: Giải hệ: Đề thi giữa học kì 2 môn Toán lớp 10 có đáp án
    Đáp án là:
    Câu 4: Giải hệ: Đề thi giữa học kì 2 môn Toán lớp 10 có đáp án
  • Câu 5: Nhận biết
    Câu 5: Giải bất phương trình: Đề thi giữa học kì 2 môn Toán lớp 10 có đáp án
    Đáp án là:
    Câu 5: Giải bất phương trình: Đề thi giữa học kì 2 môn Toán lớp 10 có đáp án
  • Câu 6: Nhận biết
    Câu 6: Giải bất phương trình: Đề thi giữa học kì 2 môn Toán lớp 10 có đáp án
    Đáp án là:
    Câu 6: Giải bất phương trình: Đề thi giữa học kì 2 môn Toán lớp 10 có đáp án
  • Câu 7: Nhận biết
    Câu 7: Tam giác ABC có BC = a, AC = b, AB = c và đường trung tuyến AM = c. Chứng minh rằng: sin2A = 2(sin2B - sin2C).
    Đáp án là:
    Câu 7: Tam giác ABC có BC = a, AC = b, AB = c và đường trung tuyến AM = c. Chứng minh rằng: sin2A = 2(sin2B - sin2C).
  • Câu 8: Nhận biết
    Câu 8: Viết phương trình đường trung trực của đoạn thẳng AB biết: A(1; -2), B(3; 4).
    Đáp án là:
    Câu 8: Viết phương trình đường trung trực của đoạn thẳng AB biết: A(1; -2), B(3; 4).
  • Câu 9: Nhận biết
    Câu 9:

    Cho A(-1; 2), B(-2; -4), C(3; 5).
    Tìm tọa độ đỉnh D để ABDC là hình bình hành.

    Đáp án là:
    Câu 9:

    Cho A(-1; 2), B(-2; -4), C(3; 5).
    Tìm tọa độ đỉnh D để ABDC là hình bình hành.

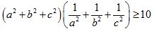
  • Câu 10: Nhận biết
    Câu 10:

    Cho a, b, c là độ dài ba cạnh của một tam giác không nhọn.

    Chứng minh rằng: Đề thi giữa học kì 2 môn Toán lớp 10 có đáp án

    Đáp án là:
    Câu 10:

    Cho a, b, c là độ dài ba cạnh của một tam giác không nhọn.

    Chứng minh rằng: Đề thi giữa học kì 2 môn Toán lớp 10 có đáp án

Chúc mừng Bạn đã hoàn thành bài!

Đề thi giữa học kì 2 môn Toán lớp 10 trường THPT Đồng Đậu, Vĩnh Phúc năm học 2016 - 2017 Kết quả
  • Thời gian làm bài: 00:00:00
  • Số câu đã làm: 0
  • Điểm tạm tính: 0
  • Điểm thưởng: 0
Tải file làm trên giấy

Đấu trường Đề thi giữa học kì 2 môn Toán lớp 10 trường THPT Đồng Đậu, Vĩnh Phúc năm học 2016 - 2017

Đang tìm đối thủ...

Đang tải...

Xác thực tài khoản!

Theo Nghị định 147/2024/ND-CP, bạn cần xác thực tài khoản trước khi sử dụng tính năng này. Chúng tôi sẽ gửi mã xác thực qua SMS hoặc Zalo tới số điện thoại mà bạn nhập dưới đây:

Số điện thoại chưa đúng định dạng!
Số điện thoại này đã được xác thực!
Bạn có thể dùng Sđt này đăng nhập tại đây!
Lỗi gửi SMS, liên hệ Admin
Sắp xếp theo