Toán hay và khó lớp 2: Ôn tập về phép cộng và phép trừ - Phần 1
Toán hay và khó lớp 2: Ôn tập về phép cộng và phép trừ – Phần 1 bao gồm chi tiết các dạng toán có đáp án giúp các em học sinh ôn tập, củng cố kỹ năng giải Toán nâng cao lớp 2, tự luyện tập các dạng bài tập chuẩn bị cho kỳ thi sắp tới môn Toán lớp 2 và thi học sinh giỏi lớp 2 đạt kết quả cao. Mời các em tham khảo chi tiết.
Ôn tập về phép cộng và phép trừ
1. Lý thuyết Ôn tập về phép cộng và phép trừ
Cách tìm giá trị của phép cộng và phép trừ trong phạm vi 100.
Dạng 1: Tính nhẩm
Cộng, trừ nhẩm các số trong phạm vi 20.
Ví dụ: Tính nhẩm
a) 9 + 6 = ?
b) 12 – 9 = ?
Cách làm:
a) Nhẩm:
+ Tách 1 + 5 = 6
+ Lấy 9 cộng 1 rồi cộng tiếp với 5, ta được: 9 + 1 = 10 ; 10 + 5 = 15
Vậy 9 + 6 = 15
b) Nhẩm
+ Tách 9 = 2 + 7
Lấy 12 trừ đi 2 rồi trừ tiếp đi 7, ta được: 12 – 2 = 10 ; 10 – 7 = 3
Vậy 12 – 9 = 3
Dạng 2: Đặt tính rồi tính
- Đặt tính sao cho các chữ số cùng một hàng thẳng cột với nhau.
- Cộng hoặc trừ các chữ số cùng một hàng theo thứ tự từ phải sang trái, chú ý với phép tính có nhớ.
Ví dụ: Đặt tính và tính: 15 + 25
Cách làm:
|
- Đặt tính - Tính: + Lấy 5 cộng 5 bằng 10, viết 0, nhớ 1 + 1 cộng 2 bằng 3, nhớ 1 bằng 4, viết 4 Vậy 15 + 25 = 40 |
![]() |
Dạng 3: Tìm số còn thiếu
- Muốn tìm số hạng ta lấy tổng trừ đi số hạng đã biết.
- Muốn tìm số bị trừ ta lấy hiệu cộng số trừ.
- Muốn tìm số trừ ta lấy số bị trừ trừ đi hiệu.
Ví dụ: Điền số thích hợp vào chỗ trống
a) … + 26 = 50
b) … - 20 = 10
c) 70 - … = 30
Cách làm:
a) … + 26 = 50
Lấy 50 – 26 = 24
Thử lại: 24 + 26 = 50
Vậy số cần điền là 24
b) … - 20 = 10
Lấy 10 + 20 = 30
Thử lại: 30 – 20 = 10
Vậy số cần điền là 30
b) 70 - … = 30
Lấy 70 – 30 = 40
Thử lại: 70 – 40 = 30
Vậy số cần điền là 40.
Dạng 4: Toán đố
- Bước 1: Đọc và phân tích đề: Xác định các số liệu đã biết, yêu cầu của bài toán.
- Bước 2: Tìm lời giải cho bài toán: Khi bài toán yêu cầu tìm “tất cả” hoặc “cả hai” thì ta thường cộng các đại lượng; bài toán tìm “còn lại” hoặc so sánh thì ta thường dùng phép tính trừ.
- Bước 3: Trình bày lời giải
- Bước 4: Kiểm tra lại kết quả.
Ví dụ: Lớp 2A trồng được 34 cây, lớp 2B trồng nhiều hơn lớp 2A là 13 cây. Hỏi lớp 2B trồng được bao nhiêu cây?
Cách làm:
Muốn tìm số cây của lớp 2B trồng được, ta lất số cây của lớp 2A cộng với 13.
Bài giải:
Số cây lớp 2B trồng được là:
34 + 13 = 47 (cây)
Đáp số: 47 cây.
2. Bài tập Ôn tập về phép cộng và phép trừ – Phần 1
Bài 1: Điền số thích hợp vào chỗ trống:
a. …. + 9 = 16
b. 17 – …. = 8
c. 6 + …. = 14
d. …. – 5 = 8
e. 15 – …. = 7
f. …. + 7 = 12
Bài 2: Đặt tính rồi tính, biết:
a. Hai số hạng là 36 và 28
b. Số bị trừ bằng 54, số trừ bằng 45
c. Số bị trừ bằng 83, số trừ bằng 67
Bài 3: Tính:
a. 27 + 35 – 26
b. 46- 17 + 25
c. 92 – 28 – 36
Bài 4: Điền chữ số thích hợp vào ô trống:

Bài 5: Điền chữ số thích hợp vào dấu hỏi (?)
a. ?? + ?6 = 31
b. 9? + ?? = 100
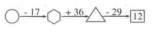
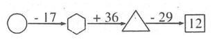
Bài 6: Số?

Bài 7: Tính nhẩm:
a. 58 + 26
b. 68 – 29
Bài 8: Tính nhanh:
a. 26 + 17 + 23 + 14
b. 37 — 5 + 35 — 7
Bài 9: Nối phép tính với số thích hợp

Bài 10: Đúng ghi Đ, sai ghi S.

Bài 11: Giải bài toán theo tóm tắt sau:
Tóm tắt:
Có: 72 chai dầu
Đã bán: 39 chai dầu
Còn lại: … chai dầu?
Bài 12. Có 36 người Việt Nam và người nước ngoài vào phòng triển lãm tranh, trong đó có 17 người Việt Nam. Hỏi có bao nhiêu người nước ngoài vào phòng triển lãm tranh?
Bài 13. Bạn Đông cao 94cm. Bạn Thu thấp hơn bạn Đông là 5cm, bạn Xuân cao hơn bạn Thu 2cm. Tính chiều cao của bạn Thu và bạn Xuân?
Bài 14: Tính nhẩm:
- a) 10 + 30 + 50 – 60 = ……………
- b) 15 + 35 – 20 + 40 = ……………
- c) 100 – 98 + 42 – 30 = ……………
Bài 15: Từ các thẻ số: 1; 3; 2 em hãy:
a) Ghép số lớn nhất có 2 chữ số và số nhỏ nhất có 2 chữ số từ 3 thẻ số trên.
b) Thực hiện tính tổng và hiệu của 2 số em vừa ghép được
Bài 16: Kho thứ nhất có 22 bao gạo, kho thứ hai có ít hơn kho thứ nhất 1 chục bao gạo. Kho thứ ba có số bao gạo bằng tổng số bao gạo ở kho thứ nhất và kho thứ hai. Tính tổng số bao gạo ở cả 3 kho?
Bài 17: Tìm x:
|
a) x + 55 = 99 c) 32 + x = 100 |
b) x – 28 = 30 d) 94 – x = 17 |
Bài 18:
|
a) x + 55 = 99 x = 99 – 55 x = 44 c) 32 + x = 100 x = 100 – 32 x = 68 |
b) x – 28 = 30 x = 30 + 28 x = 58 d) 94 – x = 17 x = 94 – 17 x = 77 |
Bài 18: Một nông trại ngày đầu thu hoạch được 32 bao thóc, ngày hôm sau thu hoạch nhiều hơn ngày đầu 14 bao thóc. Hỏi:
a) Ngày hôm sau trang trại đó thu hoạch được bao nhiêu bao thóc?
b) Cả 2 ngày nông trại đó thu hoạch được bao nhiêu bao thóc?
Bài 19: Cho tia số sau:

a) Hai quả nào có tổng nhỏ nhất?
b) Hai quả nào có tổng lớn nhất?
c) Hiệu giữa số bị che bởi quả đào và số bị che bởi quả xoài là bao nhiêu?
3. Đáp án Bài tập Ôn tập về phép cộng và phép trừ – Phần 1
Bài 1:
a. 7 + 9 = 1
b. 17 – 9 = 8
c. 6 + 8 = 14
d. 13 – 5 = 8
e. 15 – 8 = 7
f. 5 + 7 = 12
Mời các bạn tải về để xem tiếp nội dung và đáp án.
Tham khảo:
VNDOC gợi ý:
- Phiếu bài tập hàng ngày môn Toán lớp 2 Kết nối tri thức - Học kì 2
- Phiếu bài tập hàng ngày môn Toán lớp 2 Chân trời sáng tạo - Học kì 2
- Bộ bài tập hàng ngày Toán lớp 3 Cánh diều (Học kì 2)
- Bài tập cuối tuần Toán lớp 2 Kết nối tri thức học kì 2 (Cơ bản)
- Bài tập cuối tuần Toán lớp 2 Kết nối tri thức học kì 2 (Nâng cao)
