180 bài toán cơ bản và nâng cao lớp 2
Tổng hợp các dạng Toán cơ bản và nâng cao lớp 2
180 bài toán cơ bản và nâng cao lớp 2 bao gồm các dạng Toán 2 cơ bản và nâng cao giúp các thầy cô ra bài tập về nhà cho các em học sinh ôn tập, rèn luyện củng cố kiến thức lớp 2 trong thời gian các em nghỉ ở nhà.
180 bài toán cơ bản và nâng cao lớp 2
Phần 1: Một số bài toán về số và chữ số
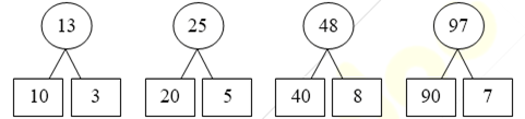
Bài 1: Nối

Bài 2: Phân tích số thành các chục và đơn vị

Bài 3: Viết các số: 236; 880; 408 thành các tổng của các trăm, các chục và các đơn vị:
………………………..…………………………………………………………………..
……………………………………………………………………………………………
……………………………………………………………………….……………………
Bài 4: Viết các số gồm:
a) 6 chục và 7 đơn vị: ……………………………………………………………………..
b) 4 trăm 8 chục và 0 đơn vị: ……………………………………………………………..
Bài 5: Viết tất cả các số có hai chữ số mà:
a) Chữ số hàng đơn vị là 8: …………………………….……………………………….
b) Chữ số hàng chục là 8: ………………………..……………………………………..
c) Chữ số hàng chục và chữ số hàng đơn vị giống nhau: …………….………………….
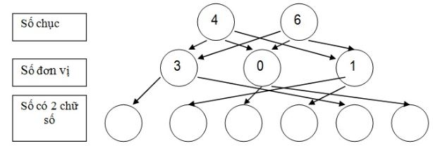
Bài 6: Viết số thích hợp theo đường mũi tên

Bài 7:
a) Lấy các chữ số 4, 8 làm chữ số hàng chục, các chữ số 3, 5, 7 làm chữ số hàng đơn vị, ta có thể lập được bao nhiêu số có hai chữ số?....... Hãy viết tất cả các số có hai chữ số đó:
......................................................................................................................................................
......................................................................................................................................................
b) Cũng hỏi như câu a) với số có 3 chữ số mà chữ số hàng trăm là 2: …………........................
…………………………………………………………………………….............................................
Bài 8: Từ ba chữ số 2, 4, 6 em hãy viết tất cả các số có hai chữ số:
......................................................................................................................................................
......................................................................................................................................................
Có bao nhiêu số như vậy?
......................................................................................................................................................
......................................................................................................................................................
Bài 9: Từ bốn chữ số 0, 1, 2, 3 em hãy viết tất cả các số có hai chữ số khác nhau:
……………………………………………………………………………………………........................
Bài 10: Từ ba chữ số 3, 5, 7 em hãy viết tất cả các số có 3 chữ số khác nhau:
…………………………………………………………………………………………............................
Bài 11:
a) Có bao nhiêu số có một chữ số: ……………………………………………...............................
b) Có bao nhiêu số có hai chữ số : ……………………………………………………….................
c) Từ 26 đến 167 có bao nhiêu số có hai chữ số? ………………………………………...............
d) Có bao nhiêu số có ba chữ số? ………………………………………………………..................
Bài 12: Cho số 45, số đó thay đổi như thế nào nếu:
a) Xoá bỏ chữ số 5: …………………………………………………………………….......................
b) Xoá bỏ chữ số 4: …………………………………………………………………….......................
Bài 13: Cho số a có hai chữ số:
a) Nếu chữ số hàng chục bớt đi 2 thì số a giảm đi bao nhiêu đơn vị?
......................................................................................................................................................
......................................................................................................................................................
b) Nếu chữ số hàng chục tăng thêm 2 thì số a tăng thêm bao nhiêu?
......................................................................................................................................................
......................................................................................................................................................
c) Nếu chữ số hàng chục tăng thêm 1 và chữ số hàng đơn vị giảm đi 1 thì số a thay đổi thế nào?
......................................................................................................................................................
......................................................................................................................................................
Bài 14: Cho số 406:
a) Nếu chữ số hàng trăm bớt đi 2 (hay thêm 2) thì số đó giảm đi (hay tăng thêm) bao nhiêu đơn vị?
......................................................................................................................................................
......................................................................................................................................................
b) Số đó thay đổi như thế nào nếu đổi chỗ chữ số 0 và chữ số 6 cho nhau?
......................................................................................................................................................
......................................................................................................................................................
Bài 15: a) Hai số có hai chữ số có cùng chữ số hàng chục mà chữ số hàng đơn vị kém nhau 5 thì hai số đó hơn, kém nhau bao nhiêu?
......................................................................................................................................................
......................................................................................................................................................
b) Hai số có hai chữ số có chung chữ số hàng đơn vị mà có chữ số hàng chục hơn, kém nhau 5 thì hai số đó hơn, kém nhau bao nhiêu?
.......................................................................................................................................................
......................................................................................................................................................
Bài 16: Em hãy viết tất cả các số có hai chữ số mà khi đọc số đó theo thứ tự từ trái sang phải hay từ phải sang trái thì giá trị số đó vẫn không đổi. ………………………………..
Bài 17: Cô giáo viết một số có hai chữ số vào một miếng bìa rồi đưa cho Huy đọc số đó. Bạn Huy đọc “sáu mươi tám”, sau đó Huy đưa miếng bìa cho Hiếu. Bạn Hiếu lại đọc “Tám mươi chín”. Cô khen cả hai bạn đều đọc đúng. Em có thể giải thích tại sao như vậy không? Có thể tìm được những số có hai chữ số nào có cùng “đặc điểm” như vậy?…….
……………………………………………………………………………………………
……………………………………………………………………………………………
……………………………………………………………………………………………
………………………………………………………………………………………........
Bài 18: Em hãy viết tất cả các số có hai chữ số mà tổng các chữ số của nó:
a) Bằng 5: …………………………………………………………………………………
b) Bằng 18; ………………………………………………………………………………
c) Bằng 1: ………………………………………………………………………………..
Bài 19: Em hãy viết tất cả các số có hai chữ số mà hiệu các chữ số của nó:
a) Bằng 5:…………………………………………………………………………………
b) Bằng 9; ………………………………………………………………………………
c) Bằng 0:………………………………………………………………………………..
Bài 20: Tìm số có hai chữ số mà tổng hai chữ số bằng 5, hiệu hai chữ số cũng bằng 5: …
…………………………………………………………………………………………….
Bài 21: Tìm số có một chữ số, biết rằng khi thêm 2 đơn vị vào số đó thì được một số có hai chữ số: ………
Bài 22: Tìm số có hai chữ số, biết rằng khi bớt số đó 2 chục thì được một số có một chữ số:
Bài 23: Tìm số có hai chữ số, biết rằng khi 2 đơn vị vào số đó thì được một số nhỏ hơn 13:
Bài 24: Tìm số có một chữ số ta cho khi thêm 1 chục vào số đó ta được một số lớn hơn 18:
Bài 25: Em hãy viết tất cả các số có ba chữ số mà tổng ba chữ số của nó là:
a) Bằng 3:………………………………………………………………………………
b) Bằng 2; ………………………………………………………………………………
c) Bằng 1:……………………………………………………………………………….
Bài 26: Em hãy tìm số có ba chữ số mà hiệu của chữ số hàng trăm và chữ số hàng chục bằng 0, còn hiệu của chữ số hàng chục và chữ số hàng đơn vị bằng 9. …………………..
……………………………………………………………………………………………
……………………………………………………………………………………………
……………………………………………………………………………………………
Bài 27: Em hãy tìm số có ba chữ số mà chữ số hàng trăm nhân với 3 được chữ số hàng chục, chữ số hàng chục nhân với 3 được chữ số hàng đơn vị. ………………
……………………………………………………………………………………………
……………………………………………………………………………………………
……………………………………………………………………………………………
Bài 28: Tìm số có hai chữ số, biết rằng khi thêm 1 vào số đó thì được số có ba chữ số: ..
……………………………………………………………………………………………
……………………………………………………………………………………………
……………………………………………………………………………………………
Bài 29: Tìm số có ba chữ số, biết rằng khi bớt số đó đi 91 ta được số có một chữ số: .…
……………………………………………………………………………………………
……………………………………………………………………………………………
……………………………………………………………………………………………
Bài 30: Khoanh vào chữ cái đặt trước ý đúng:
1) Số 306 đọc là:
A. Ba mươi sáu
B. Ba trăm linh sáu.
2) Số 5 trăm 5 đơn vị viết là:
A. 5005
B. 550
C. 505
D. 055
Bài 31: Viết tiếp vào chỗ chấm:
0; 1; ..; .. ; 5; ..; .…; ….; .…; 10; …..; ..…; …..; …..; …..; …...; ..…; …; ……; 20.
Bài 32: a) Hai số liền nhau hơn kém nhau bao nhiêu đơn vị? ………………………….
b) Viết 5 số liền nhau, mỗi số có hai chữ số: …………………………………………
Bài 33: a) Số liền sau số 99 là số………. …… Số liền trước số 99 là số……………….
b) Số liền trước và số liền sau của cùng một số hơn kém nhau mấy đơn vị? …………..
Bài 34: a) Biết số liền trước của số a là 15, em hãy tìm số liền sau của số a: ………….
b) Biết số liền sau của số b là 20, em hãy tìm số liền trước của số b: ………………….
c) Biết số c không có số liền trước nó, hỏi số c là số nào? …………………………….
Bài 35: Tìm số tròn chục liền trước và số tròn chục liền sau của:
a) 100:………………………………………… …………………………………………
b) 60;………………………………………… …………………………………………
Bài 36: a) Viết tất cả các số có hai chữ số và bé hơn 17: ………………………………
b) Viết tất cả các số tròn chục vừa lớn hơn 23 vừa bé hơn 63: ………………………….
Bài 37: Em hãy tìm hai số liền nhau, biết một số có hai chữ số, một số có một chữ số: .
………………………………………… …………………………………………
Bài 38: Viết tiếp số vào chỗ chấm trong dãy số sau:
a) 0; 1; 2; .… ; .… ; …. ; .… ; …. ; …. ; .… ; ……. ; ……. ; ……. ; …….
b) 0; 2; 4; ….; …. ; …. ; ….. ; …. ; …. ; …. ; ….. ; ….. ; …. ; ….. ; ….. ;30.
c) 1; 3; 5; … ; …. ; …. ; …. ; ….. ; ….. ; …. ; ….. ; ….. ; …. ; …. ; ….. ; 31.
Bài 39: Khoanh vào những số bé hơn 19 trong các số sau:
16 ; 21 ; 7 ; 45 ; 6 ; 11 ; 60 ; 20 ; 17 ; 86 ; 12 ; 31 ; 26 ; 18 ; 24.
Bài 40: Viết số thích hợp vào chỗ chấm trong mỗi số sau đây, biết:
a) …7 < 26
b) 5… > 58
c) 3… < ….. < 32
d) 53… < …… < 532
Bài 41: Em hãy viết:
a) Số bé nhất có hai chữ số…………
b) Số lớn nhất có một chữ số…………
c) Số lớn nhất có hai chữ số…………
d) Số bé nhất có ba chữ số…………
e) Số lớn nhất có ba chữ số…………
g) Số bé nhất có một chữ số…………
Bài 42: Số bé nhất có hai chữ số và số lớn nhất có một chữ số hơn, kém nhau mấy đơn vị:
……………………………………………………………………………………………
…………………………………………………………………………………………….
……………………………………………………………………………………………
Bài 43:
a) Tìm số lớn hơn 45 mà chữ số hàng chục của nó bé hơn 5: ……………………
b)Tìm những số có hai chữ số bé hơn 25 mà chữ số hàng đơn vị của nó lớn hơn 5: ……..
Bài 44: Tìm X:
a) 7 < X
b) 1 + X > 8
Bài 45: Tìm X là số có hai chữ số, biết:
a) X < 15 ………………………
b) X > 95………………………..
Bài 46: Tìm X.
a) 9 < X < 15 ………………………………………………………………………
b) 48 < X + 1 < 50: ………………………………………………………………..
Bài 47: a) Nối các số thích hợp với ô trống (theo mẫu):

b) Viết lại các số ở câu a) theo thứ tự từ bé đến lớn.
……………………………………………………………………………………
Bài 48: Tìm X.
a) 9 < X < 15 ……………………………………………………………………………………
b) 48 < X + 1 < 50: ……………………………………………………………………………………
Bài 49: Tìm X là số có một chữ số, biết:
a) 7 < X …………………………………………………………………………………
b) 1 + X > 8
……………………………………………………………………………………
Bài 50: a) Để đánh số trang của một cuốn sách từ 1 đến 9, ta phải dùng hết bao nhiêu chữ số?
b) Để đánh số trang của một cuốn sách từ 10 đến 19, ta phải dùng hết bao nhiêu chữ số?
c) Để đánh số trang của một cuốn sách từ 123 đến 129, ta phải dùng hết bao nhiêu chữ số?
Còn tiếp, mời các bạn tải về để xem trọn bộ.
Tham khảo:
VNDOC gợi ý:
- Bộ đề thi học kì 1 lớp 2 sách Cánh diều năm 2025 - 2026
- Bộ đề thi học kì 1 lớp 2 môn Toán Kết nối tri thức
- Bộ đề thi học kì 1 lớp 2 môn Toán năm 2025-2026 Chân trời sáng tạo
- Phiếu bài tập hàng ngày môn Toán lớp 2 Chân trời sáng tạo - Cả năm
- Phiếu bài tập hàng ngày môn Toán lớp 2 Cánh diều - Cả năm
- Phiếu bài tập hàng ngày môn Toán lớp 2 Kết nối tri thức - Cả năm