Phân loại:
Tài liệu Tính phí
Bài 48 trang 29 SGK Toán 9 tập 1
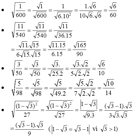
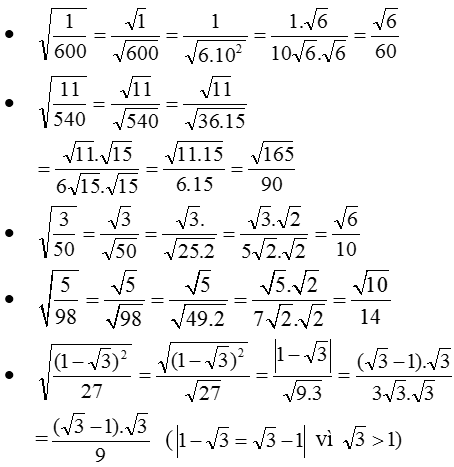
Bài 48 (trang 29 SGK Toán 9 Tập 1): Khử mẫu của biểu thức lấy căn

Xác thực tài khoản!
Theo Nghị định 147/2024/ND-CP, bạn cần xác thực tài khoản trước khi sử dụng tính năng này. Chúng tôi sẽ gửi mã xác thực qua SMS hoặc Zalo tới số điện thoại mà bạn nhập dưới đây:
Số điện thoại chưa đúng định dạng!
Xóa
Đăng nhập để viết
3 Câu trả lời
-
Sư Tử0 Trả lời · 29/09/21 -
Bơ0 Trả lời · 29/09/21 -
Mỡ0 Trả lời · 29/09/21