Bài tập trắc nghiệm phương trình đường tròn
VnDoc xin giới thiệu tới bạn đọc tài liệu Bài tập trắc nghiệm phương trình đường tròn, nội dung tài liệu chắc chắn sẽ giúp các bạn học sinh rèn luyện giải nhanh bài tập Hình học lớp 10 một cách chính xác nhất. Mời thầy cô cùng các bạn học sinh tham khảo.
Trắc nghiệm phương trình đường tròn
Chi tiết Bài tập trắc nghiệm phương trình đường tròn
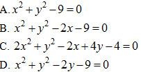
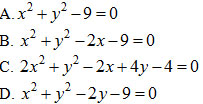
Câu 1. Trong các phương trình sau, phương trình nào không phải là phương trình đường tròn?

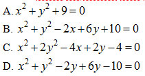
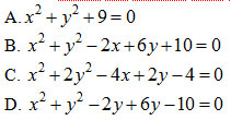
Câu 2. Trong các phương trình sau, phương trình nào là phương trình đường tròn?

Câu 3. Đường tròn có bán kính là:
A.1
B. 2
C. 4
D. 9
Câu 4. Tâm và bán kính của đường tròn là:

Câu 5. Cho đường tròn. Mệnh đề nào SAI?:
A.(C) có tâm I(1 ; 2)
B. (C) có bán kính R = 5
C. (C) đi qua M(2 ; 2)
D. (C) không đi qua A(1 ; 1)
Câu 6. Đường tròn tọa độ tâm và bán kính là:
A.I(-1 ; 2), R = 4
B. I(1 ; – 2), R = 4
C. I(1 ; – 2), R = 2
D. I(-1 ; 2), R = 2
Bài tập trắc nghiệm phương pháp tọa độ trong mặt phẳng
---------------------------------------------
Trên đây VnDoc.com đã giới thiệu tới bạn đọc tài liệu: Bài tập trắc nghiệm phương trình đường tròn. Để có kết quả cao hơn trong học tập, VnDoc xin giới thiệu tới các bạn học sinh tài liệu Toán lớp 10, Thi thpt Quốc gia môn Toán, Thi thpt Quốc gia môn Hóa học, Thi thpt Quốc gia môn Vật Lý, Thi thpt Quốc gia môn Sinh học mà VnDoc tổng hợp và đăng tải.