Giải bài tập Hình học 10 bài 4: Phương trình đường elip
Hình học 10 bài 4: Phương trình đường elip
Để giúp các bạn học sinh giải bài tập Toán 10 một cách nhanh và chính xác, VnDoc.com đã tổng hợp bộ câu hỏi bài tập kèm theo lời giải chi tiết. Lời giải bài tập Toán 10 Hình học này sẽ giúp các bạn học sinh ôn luyện một cách hiệu quả. Mời các bạn học sinh và thầy cô tham khảo tài liệu: Giải bài tập Hình học 10 bài 4: Phương trình đường elip.
Giải bài tập Hình học 10 bài 1: Giá trị lượng giác của một góc bất kì từ 0 độ đến 180 độ
Giải bài tập Hình học 10 bài 2: Tích vô hướng
Giải bài tập Hình học 10 bài 3: Các hệ thức lượng trong tam giác và giải tam giác
Giải bài tập Hình học 10 bài 4: Phương trình đường elip
Bài 1 (trang 88 SGK Hình học 10): Xác định độ dài các trục, tọa độ các tiêu điểm, tọa độ các đỉnh của các elip có phương trình sau:

Bài 2 (trang 88 SGK Hình học 10): Lập phương trình chính tắc của elip, biết:
a, Độ dài trục lớn và trục nhỏ lần lượt là 8 và 6.
b, Độ dài trục lớn bằng 10 và tiêu cự bằng 6.
Lời giải

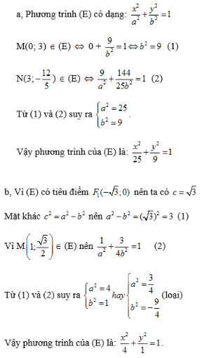
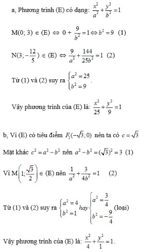
Bài 3 (trang 88 SGK Hình học 10): Lập phương trình chính tắc của elip trong các trường hợp sau:

Lời giải

Bài 4 (trang 88 SGK Hình học 10): Để một bảng hiệu quảng cáo hình elip có trục lớn là 80cm và trục nhỏ là 40cm từ một tấm ván ép hình chữ nhật có kích thước 80cm x 40cm, người ta vẽ hình elip trên tấm ván ép như hình dưới. Hỏi phải ghìm hai cái đinh cách mép tấm ván ép bao nhiêu và lấy vòng dây có độ dài là bao nhiêu?
Lời giải

Bài 5 (trang 88 SGK Hình học 10): Cho hai đường tròn C1(F1,R1) và C2(F2,R2) . C1 nằm trong C2 và F1 ≠F2 . Đường tròn C thay đổi luôn tiếp xúc ngoài với C1 và tiếp xúc trong với C2. Hãy chứng tỏ rằng tâm M của đường tròn C di động trên một elip.
Lời giải
