Giải bài tập trang 70, 71, 72 SGK Đại số 10: Ôn tập chương 3
Đại số 10: Ôn tập chương 3
- Bài 1 trang 70 SGK Đại số 10
- Bài 2 trang 70 SGK Đại số 10
- Bài 3 trang 70 SGK Đại số 10
- Bài 4 trang 70 SGK Đại số 10
- Bài 5 trang 70 SGK Đại số 10
- Bài 6 trang 70 SGK Đại số 10
- Bài 7 trang 70 SGK –Đại số 10
- Bài 8 trang 71 SGK Đại số 10
- Bài 9 trang 71 SGK Đại số 10
- Bài 10 trang 71 SGK Đại số 10
- Bài 11 trang 71 SGK Đại số 10
- Bài 12 trang 71 SGK Đại số 10
- Bài 13 trang 71 SGK Đại số 10
- Bài 14 trang 71 SGK Toán 10
- Bài 15 trang 71 SGK Toán 10
- Bài 16 trang 71 SGK Toán 10
- Bài 17 trang 71 SGK Toán 10
Giải bài tập trang 70, 71, 72 SGK Đại số 10: Ôn tập chương 3 vừa được VnDoc.com sưu tầm và xin gửi tới bạn đọc cùng tham khảo. Bài viết là tài liệu để học tốt Toán lớp 10 hay dành cho các bạn học sinh tham khảo, giúp các bạn ôn tập các kiến thức về phương trình và hệ phương trình được hiệu quả nhất. Chúc các bạn học tốt môn Toán lớp 10. Mời các bạn cùng tham khảo chi tiết và tải về bài viết dưới đây nhé.
- Giải bài tập trang 62, 63 SGK Đại số 10: Phương trình quy về phương trình bậc nhất, bậc hai
- Giải bài tập trang 68 SGK Đại số 10: Phương trình và hệ phương trình bậc nhất nhiều ẩn
- Giải bài tập trang 79 SGK Đại số 10: Bất đẳng thức
Giải bài ôn tập chương 3 đại số 10 (trang 70, 71, 72)
Bài 1 trang 70 SGK Đại số 10
Khi nào hai phương trình được gọi là tương đương? Cho ví dụ.
Hướng dẫn giải bài 1:
Hai phương trình được gọi là tương đương khi chúng có chung tập nghiệm. Ví dụ:
- x2 – 1 = 0 và (x + 1)(x – 1) = 0 là hai phương trình tương đương
- sinx = 2 và x2 + 1 = 0 là hai phương trình tương đương (vì sao?)
Bài 2 trang 70 SGK Đại số 10
Thế nào là phương trình hệ quả? Cho ví dụ.
Hướng dẫn giải bài 2:
Cho hai phương trình f(x) = g(x) và f1(x) = g1(x). Nếu mọi nghiệm của f(x) = g(x) đều là nghiêm của f1(x) = g1(x) thì phương trình f1(x) = g1(x) được gọi là phương trình hệ quả của phương trình f(x) = g(x)
Ví du: Cho x2 – 2x – 3 = 0 và (x + 1)(x – 3)x thì (x + 1)(x – 3)x = 0 là phương trình hệ của phương trình: x2 + 2x – 3 = 0
Thật vậy, gọi T là tập nghiệm của x2 – 2x – 3 = 0 thì T = {-1; 3}; T1 là tập nghiệm của (x + 1)(x - 3)x = 0 thì T1 = {-1; 3; 0}. Ta thấy T ⊂ T1
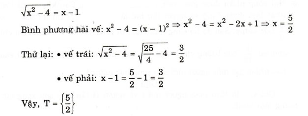
Bài 3 trang 70 SGK Đại số 10
Giải các phương trình sau:

Đáp án và hướng dẫn giải bài 3:

Vậy, D = Ø
Tập nghiệm: T = Ø
Bài 4 trang 70 SGK Đại số 10
Giải các phương trình:

Đáp án và hướng dẫn giải bài 4:
a) 
Tập xác định: x2 – 4 ≠ 0 ⇔ x ≠ ±2
Quy đồng và bỏ mẫu chung
(1) ⇔ (3x + 4)(x + 2) – (x - 2) = 4 + 3(x2 – 4) ⇔ x = -2 (loại)
Vậy, T = Ø
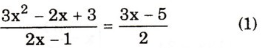
b) ![]()
Tập xác định x ≠ 1/2
Quy đồng và bỏ mẫu chung 2(2x – 1)
(1) ⇔ 2(3x2 – 2x + 3) = (2x - 1)(3x - 5) ⇔ x = -1/9 (nhận)
Vậy, T = (-1/9)
c) 
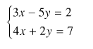
Bài 5 trang 70 SGK Đại số 10
Giải các hệ phương trình:

Đáp án và hướng dẫn giải bài 5:

Bài 6 trang 70 SGK Đại số 10
Hai công nhân được giao việc sơn một bức tường. Sau khi người thứ nhất làm được 7 giờ và người thứ hai làm được 4 giờ thì họ sơn được 5/9 bức tường. Sau đó họ cùng làm với nhau trong 4 giờ nữa thì chỉ còn lại 1/18 bức tường chưa sơn. Hỏi nếu mỗi người làm riêng thì sau bao nhiêu giờ mỗi người mới sơn xong bức tường?
Đáp án và hướng dẫn giải bài 6:
Gọi x, y là thời gian người thứ I và người thứ II lần lượt sơn xong bức tường một mình.
- Trong 1 giờ, người thứ I sơn được 1/x (bức tường) nên trong 7 giờ, người thứ I sơn được 7/x (bức tường)
- Tương tự, trong 4 giờ, người thứ II sơn được: 4/y (bức tường)
- Theo đề bài ta có phương trình: 7/x + 4/y = 5/9 (1)
- Sau 4 giờ làm chung, phân số biểu thị số bức tường phải sơn là: 4/9 - 1/18 = 7/18 (bức tường)
- Ta có phương trình: 4(1/x + 1/y) = 7/18 (bức tường) ⇔ 1/x + 1/y = 7/72 (2)
Giải hệ (1) và (2), ta được x = 18 (giờ); y = 24 (giờ)
Vậy, công nhân thứ nhất sơn xong bức tường mất 18 giờ; công nhân thứ hai sơn xong bức tường mất 24 giờ.
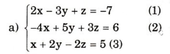
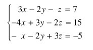
Bài 7 trang 70 SGK –Đại số 10
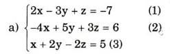
Giải các hệ phương trình:

Đáp án và hướng dẫn giải bài 7:

Khử z giữa (1) và (2), ta được 10x – 14y = -27 (4)
Khử z giữa (1) và (3), ta được 5x – 4y = -9 (5)
Từ (4) và (5) ta được x = -0,6; y = 1,5
Thay x = -0,6; y =1,5 vào (1), ta được z = -1,3
Vậy nghiệm của hệ phương trình đã cho là (x; y; z) = (-0,6; 1,5; -1,3).

Khử z giữa (1) và (2), ta được -3x + 10y = -11 (4)
Khử z giữa (1) và (3), ta được -5x - 12y = -23 (5)
Từ (4) và (5), ta được x = 4,2; y = 0,16
Thay x = 4,2; y = 0,16 vào (1), ta được z = 1,92
Vậy nghiệm của hệ đã cho là (x; y; z) = (4,2; 0,16; 1,92)
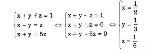
Bài 8 trang 71 SGK Đại số 10
Ba phân số đều có tử số là 1 và tổng của ba phân số đó là bằng 1. Hiệu của phân số thứ nhất và phân số thứ hai bằng phân số thứ ba, còn tổng của phân số thứ nhất và phân số thứ hai bằng 5 lần phân số thứ ba. Tìm các phân số đó.
Đáp án và hướng dẫn giải bài 8:
Gọi 1/a là phân số thứ nhất cần tìm (a > 0)
1/b là phân số thứ hai cần tìm (b > 0)
1/c là phân số thứ ba cần tìm (c > 0)
Theo đề ra, ta có hệ phương trình: 
Đặt x = 1/a; y = 1/b; z = 1/c. Khi đó, hệ (I) trở thành

Vậy ba phân số cần tìm là 1/2; 1/3; 1/6.
Bài 9 trang 71 SGK Đại số 10
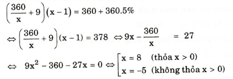
Một phân xưởng được giao sản xuất 360 sản phẩm trong một số ngày nhất định. Vì phân xưởng tăng năng suất, mỗi ngày làm thêm được 9 sản phẩm so với định mức, nên trước khi hết thời hạn một ngày thì phân xưởng đã làm vượt số sản phẩm được giao là 5%. Hỏi nếu vẫn tiếp tục làm việc với năng suất đó thì khi đến hạn phân xưởng làm được tất cả bao nhiêu sản phẩm?
Đáp án và hướng dẫn giải bài 9:
Gọi x là số ngày dự định làm xong kế hoạch (x > 0)
Khi đó, số sản phẩm dự định làm trong một ngày là 360/x
Số sản phẩm thực tế làm được trong một ngày là 360/x + 9 (sản phẩm)
Số ngày thực tế làm xong kế hoạch là x – 1 (ngày)
Theo bài ra ta có phương trình

Vậy số ngày dự định làm xong kế hoạch là 8 ngày. Do đó nếu vẫn tiếp tục làm với năng suất thực tế thì trong 8 ngày, phân xưởng đó làm được tất cả: (360/8 + 9)8 = 432 (sản phẩm).
Bài 10 trang 71 SGK Đại số 10
Giải các phương trình sau bằng máy tính bỏ túi
a) 5x2 – 3x – 7 = 0; b) 3x2 + 4x + 1 = 0;
c) 0,2x2 + 1,2x – 1 = 0; d) √2x2 + 5x + √8 = 0;
Đáp án và hướng dẫn giải bài 10:

Bài 11 trang 71 SGK Đại số 10
Giải các phương trình
a) |4x – 9| = 3 – 2x
b) |2x + 1| = |3x + 5|
Đáp án và hướng dẫn giải bài 11:

Bài 12 trang 71 SGK Đại số 10
Tìm hai cạnh của mảnh vườn hình chữ nhật trong hai trường hợp
a) Chu vi là 94,4 m và diện tích là 494.55 m2
b) Hiệu của hai cạnh là 12,1 m và diện tích là 1089 m2
Đáp án và hướng dẫn giải bài 12:
a) Gọi x và y là hai kích thước của hình chữ nhật, ta có:

Bài 13 trang 71 SGK Đại số 10
Hai người quét sân. Cả hai người cùng quét sân hết 1 giờ 20 phút, trong khi nếu chỉ quét một mình thì người thứ nhất quét hết nhiều hơn 2 giờ so với người thứ hai. Hỏi mỗi người quét sân một mình hết mấy giờ?
Đáp án và hướng dẫn giải bài 13:
- Gọi x (giờ) là thời gian người thứ nhất quét sân một mình (x > 2)
- Khi đó, x - 2 (giờ) là thời gian người thứ hai quét sân một mình
- Trong 1 giờ, người thứ nhất quét được: 1/x (sân); người thứ hai quét được: 1/(x - 2) (sân)
- Vì cả hai người cùng quét sân hết 1 giờ 20 phút = 4/3 giờ, nên trong 1 giờ làm được: 3/4 (sân)
- Ta có phương trình:

Vậy thời gian người thứ nhất quét sân một mình là 4 giờ, do đó người thứ hai quét một mình hết 2 giờ.
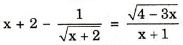
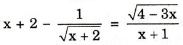
Bài 14 trang 71 SGK Toán 10
Điều kiện của phương trình
là:
(A) x > -2 và x ≠ – 1 (B) x > -2 và x < 4/3
(C) x > -2, x ≠ -1 và x ≤ 4/3 (D) x ≠ -2 và x ≠ -1.
Đáp án và hướng dẫn giải bài 14:
Đáp án đúng là: (C).
Điều kiện:
√4 - 3x có nghĩa ⇔ x ≤ 4/3;
√x + 2 có nghĩa ⇔ x > -2; x + 1 ≠ 0 ⇔ x ≠ -1
Vậy D = {x/x ≤ 4/3l x > -2; x ≠ -1}
Bài 15 trang 71 SGK Toán 10
Tập nghiệm của phương trình trong
trường hợp m ≠ 0 là:
(A) {-2/m} (B) ø
(C) R (D) R\{0}
Đáp án và hướng dẫn giải bài 15:
Đáp án đúng là: (A).
(m ≠ 0)
⇔ m2x + 2m = 0 ⇔ mx = -2 ⇔ x = -2/m. Vậy T = {-2/m}
Bài 16 trang 71 SGK Toán 10
Nghiệm của hệ phương trình 
(A) (-39/26; 3/13) (B) (-17/13; -5/13)
(C) (39/26; 1/2) (D) (-1/3; 17/6)
Đáp án bài 16:
Đáp án đúng là: (C).
Bài 17 trang 71 SGK Toán 10
Nghiệm của hệ phương trình 
(A) (-10;7;9) (B) (3/2; -2; 3/2)
(C) -1/4; -9/2; 5/4) (D) (-5; -7; -8)
Đáp án bài 17:
Đáp án đúng là: (D).
VnDoc.com vừa gửi tới bạn đọc bài viết Giải bài tập trang 70, 71, 72 SGK Đại số 10: Ôn tập chương 3. Mời các bạn cùng tham khảo thêm các môn Tiếng Anh lớp 10, Ngữ văn lớp 10...