Giải bài tập trang 68 SGK Đại số 10: Phương trình và hệ phương trình bậc nhất nhiều ẩn
Phương trình và hệ phương trình bậc nhất nhiều ẩn
Giải bài tập trang 68 SGK Đại số 10: Phương trình và hệ phương trình bậc nhất nhiều ẩn được VnDoc sưu tầm và đăng tải, tổng hợp lời giải chi tiết của các câu hỏi trong sách giáo khoa Toán lớp 10. Hi vọng rằng đây sẽ là tài liệu hữu ích trong công tác giảng dạy và học tập của quý thầy cô và các em học sinh.
Giải bài tập trang 57 SGK Đại số 10: Đại cương về phương trình
Giải bài tập trang 62, 63 SGK Đại số 10: Phương trình quy về phương trình bậc nhất, bậc hai
Giải bài tập trang 70, 71, 72 SGK Đại số 10: Ôn tập chương 3
Giải bài 1, 2, 3,4, 5, 6, 7 trang 68 SGK Đại số 10: Phương trình và hệ phương trình bậc nhất nhiều ẩn
Bài 1 trang 68 SGK Đại số lớp 10
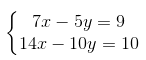
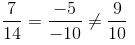
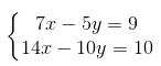
Cho hệ phương trình 
Tại sao không cần giải ta cũng kết luận được hệ phương trình này vô nghiệm?
Đáp án và hướng dẫn giải bài 1:
Ta thấy rằng nhân vế trái phương trình thứ nhất (7x - 5y) với 2 thì được vế trái của phương trình thứ hai (14x - 10y). Trong khi đó nhân vế phải phương trình thứ nhất với 2 thì kết quả khác với vế phải phương trình thứ hai. Vậy hệ phương trình vô nghiệm.
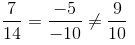
Gọn hơn, ta có:
nên hệ phương trình đã cho vô nghiệm.
Bài 2 trang 68 SGK Đại số lớp 10
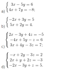
Giải các hệ phương trình

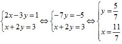
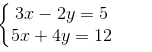
a) Giải bằng phương pháp thế: 2x – 3y = 1 ⇒ y = (2x - 1)/3
Thế vào phương trình thứ hai:

Kết luận: Hệ phương trình có nghiệm duy nhất (11/7; 5/7).
Giải bằng phương pháp cộng đại số: Nhân hai vế của phương trình thứ hai với -2 rồi cộng với phương trình thứ nhất ta được 
b) Giải tương tự câu a).
Đáp số: (9/11; 7/11).
c) Để tránh tính toán trên các phân số ta nhân phương trình thứ nhất với 6, nhân phương trình thứ hai với 12 ⇔ 
Lấy phương trình thứ nhất trừ đi phương trình thứ hai ta được: 
d) Nhân mỗi phương trình với 10 ta được 
Nhân phương trình thứ nhất với 2 cộng vào phương trình thứ hai ta được 
Bài 3 trang 68 SGK Đại số lớp 10
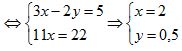
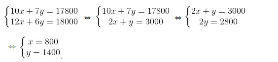
Hai bạn Vân và Lan đến cửa hàng mua trái cây. Bạn Vân mua 10 quả quýt, 7 quả cam với giá tiền là 17 800 đồng. Bạn Lan mua 12 quả quýt, 6 quả cam hết 18 000 đồng. Hỏi giá tiền mỗi quả quýt và mỗi quả cam là bao nhiêu?
Đáp án và hướng dẫn giải bài 3:
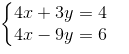
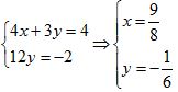
Gọi x (đồng) là giá tiền một quả quýt và y (đồng) là giá tiền một quả cam. Điều kiện x > 0, y > 0 ta có hệ phương trình:

Trả lời: Giá tiền một quả quýt: 800 đồng, một quả cam 1400 đồng.
Bài 4 trang 68 SGK Đại số lớp 10
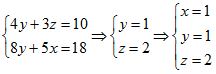
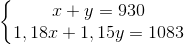
Có hai dây chuyền may áo sơ mi. Ngày thứ nhất cả hai dây chuyền may được 930 áo. Ngày thứ hai do dây chuyền thứ nhất tăng năng suất 18%, dây chuyền thứ hai tăng năng suất 15% nên cả hai dây chuyền may được 1083 áo. Hỏi trong ngày thứ nhất mỗi dây chuyền may được bao nhiêu áo sơ mi?
Đáp án và hướng dẫn giải bài 4:
Gọi số áo may được của dây chuyền thứ nhất và thứ hai ngày thứ nhất theo thứ tự là x, y (cái) thì ngày thứ hai các dây chuyền ấy may được 1,18x (cái) và 1,15y (cái). Điều kiện x, y nguyên dương. Ta có hệ phương trình:
⇔ x = 450; y = 480.
Kết luận: Ngày thứ nhất hai dây chuyền may được số áo tương ứng là 450 cái và 480 cái.
Bài 5 trang 68 SGK Đại số lớp 10
Giải các hệ phương trình

Đáp án và hướng dẫn giải bài 5:
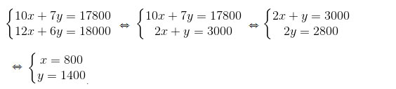
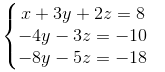
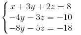
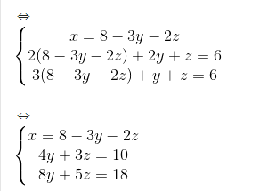
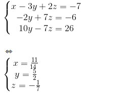
a) x + 3y + 2z = 8 ⇒ x = 8 – 3y – 2z.
Thế vào phương trình thứ hai và thứ ba thì được

Giải hệ hai phương trình với ẩn y và z: 
Nghiệm của hệ phương trình ban đầu là (1; 1; 2).
Ghi chú: Ta cũng có thể giải bằng phương pháp cộng đại số như sau: Nhân phương trình thứ nhất với -2 rồi cộng vào phương trình thứ hai.
Nhân phương trình thứ nhất với -3 cộng vào phương trình thứ ba thì được 
Giải hệ phương trình
ta được kết quả như trên.
b) 
Bài 6 trang 68 SGK Đại số lớp 10
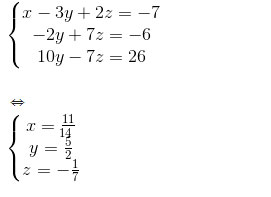
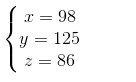
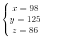
Một cửa hàng bán áo sơ mi, quần âu nam và váy nữ. Ngày thứ nhất bán được 12 áo, 21 quần và 18 váy, doanh thu là 5 349 000 đồng. Ngày thứ hai bán được 16 áo, 24 quần và 12 váy, doanh thu là 5 600 000 đồng. Ngày thứ ba bán được 24 áo, 15 quần và 12 váy, doanh thu là 5 259 000 đồng. Hỏi giá bán mỗi áo, mỗi quần và mỗi váy là bao nhiêu?
Đáp án và hướng dẫn giải bài 6:
Đặt x, y, z theo thứ tự là giá tiền bán một áo sơ mi, một quần âu và một váy nữ. Điều kiện x, y, z > 0. Ta có hệ phương trình:
(nghìn đồng) ⇔ 
Vậy giá tiền một áo là 98 nghìn, một quần âu nam là 125 nghìn và váy nữ là 86 nghìn.
Bài 7 trang 68 SGK Đại số lớp 10
Giải các hệ phương trình sau bằng máy tính bỏ túi (làm tròn kết quả đến chữ số thập phân thứ hai)

Đáp án và hướng dẫn giải bài 7:
a) Nếu sử dụng máy tính CASIO fx-500 MS ta ấn liên tiếp các phím

thấy hiện ra màn hình x = 0.048780487.
Ấn tiếp phím
ta thấy màn hình hiện ra y = -1.170731707.
Làm tròn kết quả đến chữ số thập phân thứ hai ta được nghiệm gần đúng của hệ phương trình là 
b) Ấn 
Kết quả x = 0.105263157. Ấn tiếp
kết quả y = -1.736842105.
c) Ấn 
thấy hiện ra trên màn hình x = 0.217821782.
Ấn tiếp phím
ta thấy màn hình hiện ra y = 1.297029703.
Ấn tiếp phím
trên màn hình hiện ra z = -0.386138613.
Vậy nghiệm gần đúng của hệ phương trình là (làm tròn kết quả đế chữ số thập phân thứ hai) 
d) Thực hiện tương tự câu c).
Kết quả: x = -1.870967742;
y = -0.35483709;
z = 0.193548387.