Giải bài tập trang 41, 42 SGK Đại số 10 chương 2: Hàm số y = ax + b
Giải bài tập trang 41, 42 SGK Đại số 10 chương 2
Giải bài tập trang 41, 42 SGK Đại số 10 chương 2: Hàm số y = ax + b là tài liệu học tốt môn Toán lớp 10, hướng dẫn các em giải các bài tập theo khung chương trình sách giáo khoa Toán lớp 10, từ đó ôn tập và củng cố kiến thức hiệu quả. Mời các em cùng tham khảo.
Giải bài tập trang 23 SGK Đại số 10: Số gần đúng - Sai số
Giải bài tập trang 24, 25 SGK Đại số 10: Ôn tập chương 1
Giải bài tập trang 38, 39 SGK Đại số 10 chương 2: Hàm số
Giải bài tập trang 49, 50 SGK Đại số 10 chương 2: Hàm số bậc hai
Giải bài 1, 2, 3, 4 trang 41, 42 SGK đại số 10: Hàm số y = ax + b
A. Tóm tắt kiến thức hàm số y = ax + b
1. Hàm số y = ax + b (a ≠ 0)
Tập xác định: D = R
Chiều biến thiên
a > 0

a < 0

Đồ thị là đường thẳng không song song và không trùng với các trục tọa độ, cắt Ox tại A(-b/a; 0) và cắt Oy tại B(0;b)
2. Hàm số hằng y = b
Đồ thị là đường thẳng song song hoặc trùng với trục Ox, cắt trục Oy tại điểm (0;b)
3. Hàm số y =|x|
Tập xác định D = R
Chiều biến thiên: 
Suy ra, y đồng biến trên (0;+∞); nghịch biến trên (-∞;0)
Bảng biến thiên

Đồ thị trùng với đồ thị của y = x trên nửa khoảng [0;+∞), trùng với đồ thị của y = -x trên nửa khoảng (-∞;0) (h.1)

B. Giải bài tập trong sách giáo khoa trang 41, 42 Đại số lớp 10.
Bài 1. (Trang 41 SGK Toán đại số 10)
Vẽ đồ thị hàm số:
a) y = 2x – 3; b) y = √2;
c) y =-3x/2 + 7 d) y = |x|.
Hướng dẫn giải bài 1:
a) Đồ thị hàm số y = 2x – 3 là đường thẳng đi qua hai điểm A(0; – 3) và B (3/2 ;0)

b) Đồ thị hàm số y = √2 là đường thẳng song song với trục hoành đi qua điểm A(0; √2) (hình 3).

c) Đồ thị hàm số y = -3x/2 + 7 là đường thẳng. Bởi vì giao điểm của đồ thị với trục tung P(0; 7) với trục hoành Q (14/3; 0) có tọa độ tương đối lớn nên ta có thể chọn các điểm thuộc đồ thị có tọa độ nhỏ hơn cho dễ vẽ. Chẳng hạn A(4; 1), B(2; 4). Đồ thị là đường thẳng AB.

d) ![]()
Đồ thị của (1) là nửa đường thẳng BA với B(0;-1) và A(1;0)
Đồ thị của (2) là nửa đưởng thẳng BA' với B(0;-1) và A' (-1;0)
Đồ thị của y = |x| - 1 gồm 2 tia Bt và Bt' (h.4)

Bài 2. (Trang 42 SGK Toán đại số 10)
Xác định a, b để đồ thị của hàm số y = ax + b đi qua các điểm.
a) A(0; 3) và B(3/5; 0);
b) A(1; 2) và B(2; 1);
c) A(15; -3) và B(21; -3).
Hướng dẫn giải bài 2:
Phương pháp giải:
- Sử dụng M(x0; y0) thuộc Δ: y = ax + b ⇔ y0 = ax0 + b
- Giải hệ hai phương trình bậc nhất theo a và b
a) A(0; 3) ∈ Δ: y = ax + b ⇔ 3 = b (1)
B(3/5; 0) ∈ Δ: y = ax + b ⇔ 0 = 3/5a + b (2)
(1) và (2) cho a = -5b/3 = -5; b = 3 Vậy Δ: y = -5x + 3
b) A(1; 2) ∈ Δ: y = ax + b ⇔ 2 = a + b (1)
B(2; 1) ∈ Δ: y = ax + b ⇔ 1 = 2a +b (2)
(1) và (2) cho a = -1; b = 3 Vậy Δ: y = -x + 3
c) Tương tự, a = 0; b = -3
(A và B đều có tung độ -3). Vậy Δ: y = -3
Bài 3. (Trang 42 SGK Toán đại số 10)
Viết phương trình y = ax + b của đường thẳng:
a) Đi qua điểm A(4; 3), B(2;-1).
b) Đi qua điểm A(1;-1) và song song với Ox.
Hướng dẫn giải bài 3:
Các em có thể làm theo như bài 2 ở trên hoặc trình bày như dưới đây:
a) Phương trình đường thẳng (d) qua A(4; 3) và B(2;-1) có dạng tổng quát là y = ax + b, trong đó a, b là các hằng số cần xác định.
Vì A(4; 3) ∈ d nên ta có phương trình của (d), do đó ta có: 3 = a.4 + b.
Tương tự B(2;-1) ∈ d nên ta có: -1 = a.2 + b
Từ đó ta tìm được phương trình đường thẳng AB là: y = 2x – 5.
Phương trình đường thẳng AB là: y = 2x – 5.
b) Gợi ý: Δ đi qua a(1;-1) và song song với trục hoành nên phương trình của Δ có dạng: y = -1
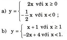
Bài 4. (Trang 42 SGK Toán đại số 10)
Vẽ đồ thị các hàm số

Hướng dẫn giải bài 4:
