Giải bài tập Đại số 10: Ôn tập chương 4
Ôn tập chương 4 Đại số 10
VnDoc xin giới thiệu tới bạn đọc tài liệu Giải bài tập Đại số 10: Ôn tập chương 4, hy vọng qua bộ tài liệu sẽ giúp các bạn học sinh sẽ rèn luyện cách giải bài tập Toán nhanh và chính xác. Mời thầy cô cùng các bạn học sinh tham khảo.
Giải bài tập trang 50, 51 SGK Đại số 10: Ôn tập chương 2
Giải bài tập trang 57 SGK Đại số 10: Đại cương về phương trình
Giải bài tập trang 68 SGK Đại số 10: Phương trình và hệ phương trình bậc nhất nhiều ẩn
Giải bài tập Đại số lớp 10 Ôn tập chương 4
Bài 1 (trang 106 SGK Đại Số 10): Sử dụng bất đẳng thức để viết các mệnh đề sau?
a) x là số dương.
b) y là số không âm.
c) Với mọi số thực α, |α| là số không âm.
d) Trung bình cộng của hai số dương a và b không nhỏ hơn trung bình nhân của chúng.
Lời giải
a) x > 0
b) y ≥ 0
c) ∀α ∈ R, |α| ≥ 0
d) ∀a, b > 0, a + b/2 ≥
\(\sqrt{ab}\)
Bài 2 (trang 106 SGK Đại Số 10): Có thể rút ra kết luận gì về dấu của hai số a và b nếu biết
a) ab > 0; b) a/b > 0
c) ab < 0; d) a/ < 0
Lời giải
a) Hai số a và b cùng dấu.
b) Hai số a và b cùng dấu.
c) Hai số a và b trái dấu nhau.
d) Hai số a và b trái dấu nhau.
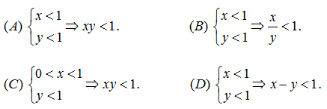
Bài 3 (trang 106 SGK Đại Số 10): Trong các suy luận sau, suy luận nào đúng?
Lời giải
Suy luận (A) sai vì giả sử x = y = -2 thì x.y = 4 > 1.
Suy luận (B) sai vì giả sử x = -6, y = -3 thì (x/y) = 2 > 1.
Suy luận (C) đúng.
Suy luận (D) sai vì giả sử x = 0, y = -5 => x - y = 5 > 1.
Bài 4 (trang 106 SGK Đại Số 10): Khi cân một vật với độ chính xác đến 0,05kg, người ta cho biết kết quả là 26,4kg. Hãy chỉ ra khối lượng thực của vật đó nằm trong khoảng nào?
Lời giải
Khối lượng thực của vật nằm trong khoảng:
(26,4 - 0,05; 26,4 - 0,05) kg hay (26,35; 26,35) kg
Bài 5 (trang 106 SGK Đại Số 10): Trên cùng một mặt phẳng tọa độ, hãy vẽ đồ thị hai hàm số y = f(x) = x + 1 và y = g(x) = 3 - x và chỉ ra các giá trị nào của x thỏa mãn:
a) f(x) = g(x);
b) f(x) > g(x);
c) f(x) < g(x).
Kiểm tra lại kết quả bằng cách giải phương trình, bất phương trình.
Lời giải
Vẽ đồ thị:
- Vẽ đồ thị hàm số y = f(x) = x + 1 qua hai điểm (0; 1) và (1; 2).
- Vẽ đồ thị hàm số y = g(x) = 3 - x qua hai điểm (0; 3) và (3; 0)

a) Đồ thị của hàm số y = f(x) và y = g(x) cắt nhau tại điểm A(1; 2), hay tại x = 1 thì f(x) = g(x) = 2
Kiểm tra bằng tính toán:
f(x) = g(x) ⇔ x + 1 = 3 - x ⇔ x = 1
b) Khi x > 1 thì đồ thị hàm số y = f(x) nằm phía trên đồ thị hàm số y = g(x), hay với x > 1 thì f(x) > g(x).
Kiểm tra bằng tính toán:
f(x) > g(x) ⇔ x + 1 > 3 - x ⇔ x > 1
c) Khi x < 1 thì đồ thị hàm số y = f(x) nằm phía dưới đồ thị hàm số y = g(x), hay với x < 1 thì f(x) < g(x).
Kiểm tra bằng tính toán:
f(x) < g(x) ⇔ x + 1 < 3 - x ⇔ x < 1
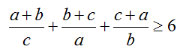
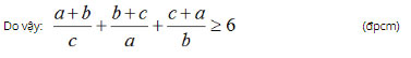
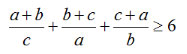
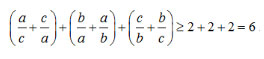
Bài 6 (trang 106 SGK Đại Số 10): Cho a, b, c là các số dương. Chứng minh rằng

Lời giải
Ta có:

Vì a > 0, b > 0, c > 0 nên áp dụng Bất đẳng thức Cô-si ta có:

Dấu "=" xảy ra khi và chỉ khi a = b = c

Bài 7 (trang 107 SGK Đại Số 10): Điều kiện của một bất phương trình là gì? Thế nào là hai bất phương trình tương đương.
Lời giải
- Điều kiện của một bất phương trình là các điều kiện của ẩn x sao cho các biểu thức của bất phương trình đó đều có nghĩa.
- Hai bất phương trình được gọi là tương đương nếu chúng có cùng tập nghiệm.
Bài 8 (trang 107 SGK Đại Số 10): Nếu quy tắc biểu diễn hình học tập nghiệm của bất phương trình ax + by ≤ c.
Lời giải
- Vẽ đường thẳng (d): ax + by = c.
- Chọn điểm M(xo, yo) (thường chọn điểm (0; 0)) và tính giá trị axo + byo.
- So sánh axo + byo với c:
+ Nếu axo + byo < c thì miền nghiệm là nửa mặt phẳng bờ (d) chứa M.
+ Nếu axo + byo = c thì miền nghiệm là đường thẳng (d).
+ Nếu axo + byo > c thì miền nghiệm là nửa mặt phẳng bờ (d) không chứa M.
Bài 9 (trang 107 SGK Đại Số 10): Phát biểu định lí về dấu của tam thức bậc hai.
Lời giải
Định lí (trang 101 sgk Đại Số 10):
Cho tam thức f(x) = ax2 + bx + c (a ≠ 0)
- Nếu Δ < 0 thì f(x) cùng dấu với hệ số a với mọi x.
- Nếu Δ = 0 thì f(x) cùng dấu với hệ số a với mọi x
\(\pm\) - b/2a
- Nếu Δ > 0 thì f(x) cùng dấu với hệ số a khi x < x1 hoặc x > x2 và f(x) trái dấu với hệ số a khi x1 < x < x2 (trong đó x1, x2 (x1 < x2) là hai nghiệm của f(x)).
Bài 10 (trang 107 SGK Đại Số 10): Cho a > 0, b > 0. Chứng minh rằng
\(\frac{a}{\sqrt{b}}+\frac{b}{\sqrt{a}}\ge\sqrt{a}+\sqrt{b}\)
Lời giải
Ta có:
\(\frac{a}{\sqrt{b}}+\frac{b}{\sqrt{a}}\ge\sqrt{a}+\sqrt{b}\)
⇔ a√a + b√b ≥ √a√b(√a + √b)
⇔ (√a + √b)(a + b - √a√b) ≥ √a√b(√a + √b)
⇔ a + b - √a√b ≥ √a√b
⇔ (√a)2 + (√b)2 - 2√a√b ≥ 0
⇔ (√a - √b)2 ≥ 0 đúng với mọi a > 0, b > 0
Do đó:
\(\frac{a}{\sqrt{b}}+\frac{b}{\sqrt{a}}\ge\sqrt{a}+\sqrt{b}\) (đpcm)
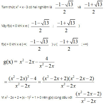
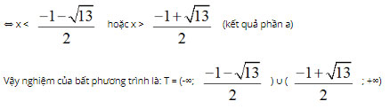
Bài 11 (trang 107 SGK Đại Số 10): a) Bằng cách sử dụng hằng đẳng thức a2 - b2 = (a - b)(a + b) hãy xét dấu f(x) = x4 - x2 + 6x - 9 và g(x) = x2 - 2x -4/x2 - 2x
b) Hãy tìm nghiệm nguyên của bất phương trình sau: x(x3 - x + 6) > 9
Lời giải
(Lưu ý: phần bài làm hơi tắt một chút, các bạn có thể tự mình lập bảng xét dấu cho đầy đủ và rõ ràng hơn.)
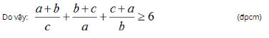
a) Ta có: f(x) = x4 - x2 + 6x - 9
= x4 - (x - 3)2 = (x2 + x - 3)(x2 - x + 3)
Do (x2 - x + 3) = (x - 1/2)2 + 13/4 > 0 nên f(x) cùng dấu với (x2 + x - 3).

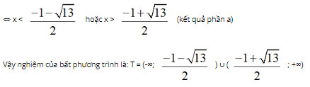
Tam thức x2 - 2x - 2 có hai nghiệm là x1 = 1 - √3; x2 = 1 + √3.
Tam thức x2 - 2x có hai nghiệm là x1 = 0; x2 = 2
Vậy g(x) < 0 khi x ∈ (1 - √3; 0) ∪ (2; 1 + √3)
g(x) > 0 khi x ∈ (-∞; 1 - √3) ∪ (0; 2) ∪ (1 + √3; +∞)
b) Ta có: x(x3 - x + 6) > 9 ⇔ x4 - x2 + 6x - 9 > 0
⇔ x4 - (x - 3)2 > 0 ⇔ (x2 - x + 3)(x2 - x - 3) > 0 (*)
Do x2 - x + 3 = x2 - 2.x.1/2 + 1/4 + 11/4 = (x - 1/2)2 + 11/4 > 0 nên (*) tương đương với:
x2 - x - 3 > 0

Bài 12 (trang 107 SGK Đại Số 10): Cho a, b, c là độ dài ba cạnh của tam giác. Sử dụng định lí về dấu tam thức bậc hai, chứng mình rằng:
b2x2 - (b2 + c2 - a2)x + c2 > 0 ∀x
Lời giải
Đặt f(x) = b2x2 - (b2 + c2 - a2)x + c2 ta có:
Δ = (b2 + c2 - a2)2 - 4b2c2
= (b2 + c2 - a2 - 2bc)(b2 + c2 - a2 + 2bc)
= [(b - c)2 - a2][(b + c)2 - a2]
= [b - (c + a)][b - c + a](b + c + a)(b + c - a)
Do a, b, c là 3 cạnh của tam giác nên b < c + a; c < a + b; a < b + c
⇒ b - (c + a) < 0; b - c + a > 0; b + c + a > 0; b + c - a > 0
⇒ Δ < 0 ⇒ f(x) cùng dấu với b2 ∀x hay f(x) > 0 ∀x (đpcm).
Bài 13 (trang 107 SGK Đại Số 10): Biểu diễn hình học tập nghiệm của hệ bất phương trình bậc nhất hai ẩn

Lời giải
Vẽ trên cùng một hệ trục tọa độ các đường thẳng:
(Δ): 3x + y = 9 ⇔ y = -3x + 9 đi qua điểm (3; 0); (0; 9)
(Δ1): x - y + 3 = 0 ⇔ y = x + 3 đi qua điểm (-3; 0); (0; 3)
(Δ2): x + 2y = 8 ⇔ y = -x/2 + 4 đi qua điểm (8; 0); (0; 4)
(Δ3): y = 6 đi qua điểm (0; 6) song song với Ox
Miền nghiệm là miền gạch chéo kể cả các đường biên của nó.
---------------------------------------------
Trên đây VnDoc.com đã giới thiệu tới bạn đọc tài liệu: Giải bài tập Đại số 10: Ôn tập chương 4. Để có kết quả cao hơn trong học tập, VnDoc xin giới thiệu tới các bạn học sinh tài liệu giải bài tập Toán lớp 10, giải bài tập Toán lớp 12, Thi thpt quốc gia môn Toán, Thi thpt Quốc gia môn Văn, đề thi học kì 2 lớp 12, Thi thpt Quốc gia môn Lịch sử mà VnDoc tổng hợp và đăng tải.

