Giải bài tập Đại số 10: Ôn tập chương 6
Giải bài tập lớp 10 Ôn tập chương 6
VnDoc xin giới thiệu tới bạn đọc tài liệu Giải bài tập Đại số 10: Ôn tập chương 6, bộ tài liệu chắc chắn sẽ là nguồn thông tin hữu ích để giúp các bạn học sinh có kết quả cao hơn trong học tập. Mời thầy cô cùng các bạn học sinh tham khảo.
Giải bài tập trang 57 SGK Đại số 10: Đại cương về phương trình
Giải bài tập trang 68 SGK Đại số 10: Phương trình và hệ phương trình bậc nhất nhiều ẩn
Giải bài tập Đại số 10 trang 155 SGK
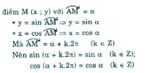
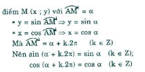
Bài 1 (trang 155 SGK Đại số 10): Hãy nêu định nghĩa của sinα , cosα và giải thích vì sao ta có:
sin(α +k2 π)=sinα;k ∈Z
cos(α +k2 π)=cosα;k ∈Z
Lời giải
Trên đường tròn lượng giác trong mặt phẳng Oxy, lấy điểm A (1;0)
Bài 2 (trang 155 SGK Đại số 10): Nêu định nghĩa của tanα , cotα và giải thích vì sao ta có:
tan(α + kπ) = tanα, k ∈Z;
cot(α + kπ) = cotα, k ∈Z;
Lời giải

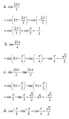
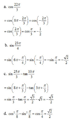
Bài 3 (trang 155 SGK Đại số 10): Tính:

Lời giải

Bài 4 (trang 155 SGK Đại số 10): Rút gọn biểu thức:

Lời giải


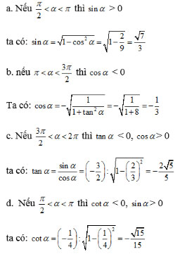
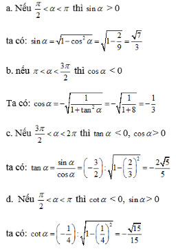
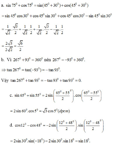
Bài 5 (trang 156 SGK Đại số 10): Tính:

Lời giải

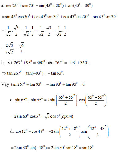
Bài 6 (trang 156 SGK Đại số 10): Chứng minh rằng:

Lời giải

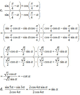
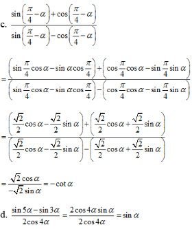
Bài 7 (trang 156 SGK Đại số 10): Chứng minh các đồng nhất thức sau đây:

Lời giải

Bài 8 (trang 156 SGK Đại số 10): Chứng minh các biểu thức sau không phụ thuộc x

Lời giải

---------------------------------------------
Trên đây VnDoc.com đã giới thiệu tới bạn đọc tài liệu: Giải bài tập Đại số 10: Ôn tập chương 6. Để có kết quả cao hơn trong học tập, VnDoc xin giới thiệu tới các bạn học sinh tài liệu giải bài tập Toán lớp 10, giải bài tập Toán lớp 12, Thi thpt quốc gia môn Toán, Thi thpt Quốc gia môn Văn, đề thi học kì 2 lớp 12, Thi thpt Quốc gia môn Lịch sử mà VnDoc tổng hợp và đăng tải.
