Giải bài tập Hình học 10: Ôn tập cuối năm
Hình học 10: Ôn tập cuối năm
VnDoc.com xin giới thiệu tới bạn đọc tài liệu: Giải bài tập Hình học 10: Ôn tập cuối năm, với bộ câu hỏi giải bài tập Toán 10 trang 98, 99 SGK kèm theo lời giải chi tiết. Lời giải bài tập Toán 10 Hình học và Đại số này sẽ giúp các bạn học sinh rèn luyện cách giải Toán hiệu quả hơn. VnDoc.com mời các bạn học sinh và thầy cô tham khảo.
Giải bài tập Hình học 10 bài 3: Các hệ thức lượng trong tam giác và giải tam giác
Giải bài tập Hình học 10 bài 2: Phương trình đường tròn
Giải bài tập Hình học 10 bài 4: Phương trình đường elip
Giải bài tập Hình học 10 ôn tập chương 3: Phương pháp tọa độ trong mặt phẳng
Giải bài tập Hình học 10: Ôn tập cuối năm
Bài 1 (trang 98 SGK Hình học 10):

Lời giải

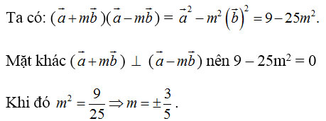
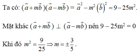
Bài 2 (trang 98 SGK Hình học 10):

Lời giải

Bài 3 (trang 99 SGK Hình học 10): Cho tam giác đều ABC cạnh a.
a, Cho M là một điểm trên đường tròn ngoại tiếp tam giác ABC. Tính MA2 + MB2 + MC2 theo a.
b, Cho đường thẳng d tùy ý, tìm điểm N trên đường thẳng d sao cho NA2 + NB2 + NC2 nhỏ nhất.
Lời giải


Bài 4 (trang 99 SGK Hình học 10): Cho tam giác đều ABC có cạnh bằng 6cm. Một điểm M nằm trên cạnh BC sao cho BM = 2cm.
a, Tính độ dài của đoạn thẳng AM và tính coossin của góc BAM ;
b, Tính bán kính đường tròn ngoại tiếp tam giác ABM;
c, Tính độ dài đường trung tuyến vẽ từ đỉnh C của tam giác ACM;
d, Tính diện tích tam giác ABM.
Lời giải


Bài 5 (trang 99 SGK Hình học 10): Chứng minh rằng trong mọi tam giác ABC ta đều có:
a, a = b cosC + c cosB;
b, sinA = sinBcosC + sinCcosB;
c, ha = 2RsinBsinC.
Lời giải


Bài 6 (trang 99 SGK Hình học 10): Cho các điểm A(2; 3), B(9; 4), M(5; y) và P(x; 2).
a, Tìm y để tam giác AMB vuông tại M;
b, Tìm x để ba điểm A, B và P thẳng hàng.
Lời giải

Bài 7 (trang 99 SGK Hình học 10): Cho tam giác ABC với H là trực tâm. Biết phương trình đường thẳng AB, BH và AH lần lượt là 4x + y – 12 = 0, 5x – 4y – 15 = 0 và 2x + 2y – 9 = 0. Hãy viết phương trình hai đường thẳng chứa hai cạnh còn lại và đường cao thứ ba.
Lời giải


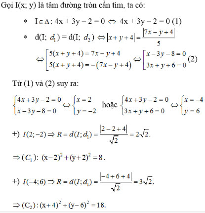
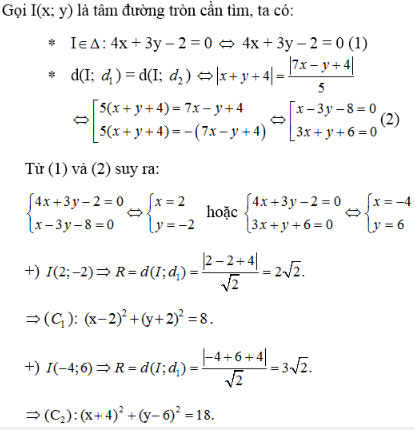
Bài 8 (trang 99 SGK Hình học 10):

Lời giải

Bài 9 (trang 99 SGK Hình học 10): Cho elip (E) có phương trình:
\(\frac{x^2}{100}+\frac{y^2}{36}=1\)
a, Hãy xác định tọa độ các đỉnh, các tiêu điểm của elip (E) và vẽ elip đó.
b, Qua tiêu điểm của elip dựng đường song song với Oy và cắt elip tại hai điểm M và N. Tính độ dài đoạn MN.
Lời giải
