Giải bài tập Hình học 10: Ôn tập chương 2
Giải bài tập Hình học lớp 10
- Bài 1 trang 62 SGK Hình học 10
- Bài 2 trang 62 SGK Hình học 10
- Bài 3 trang 62 SGK Hình học 10
- Bài 4 trang 62 SGK Hình học 10
- Bài 5 trang 62 SGK Hình học 10
- Bài 6 trang 62 SGK Hình học 10
- Bài 7 trang 62 SGK Hình học 10
- Bài 8 trang 62 SGK Hình học 10
- Bài 9 trang 62 SGK Hình học 10
- Bài 10 trang 62 SGK Hình học 10
- Bài 11 trang 62 SGK Hình học 10
VnDoc mời thầy cô cùng các bạn học sinh tham khảo tài liệu Giải bài tập Hình học 10: Ôn tập chương 2, tài liệu gồm 11 bài tập kèm theo lời giải chi tiết. Lời giải bài tập Toán 10 Hình học và Đại số này sẽ là nguồn thông tin hữu ích để giúp các bạn học sinh có kết quả cao hơn trong học tập.
Giải bài tập Hình học lớp 10: Tích vô hướng của hai vectơ và ứng dụng
Bài 1 trang 62 SGK Hình học 10
Hãy nhắc lại định nghĩa giá trị lượng giác của một góc α với 0o ≤ α ≤ 180o. Tại sao khi α là các góc nhọn thì giá trị lượng giác này lại chính là các tỉ số lượng giác đã được học ở lớp 9?
Lời giải:

Với mỗi góc α (0o ≤ α ≤ 180o) ta xác định một điểm M trên nửa đường tròn đơn vị sao cho xOM = α và giả sử M có tọa độ M(xo; yo). Khi đó:
- sin của góc α là yo, kí hiệu: sinα = yo
+ Khi α là góc nhọn, trong ΔOAM ta có:
sinα = AM/OM= yo/1=yo
+ Khi α là góc nhọn, trong ΔOAM ta có:
cosα = AM/OM= xo/1=xo
tang của góc α là yo/xo (xo ≠ 0), ký hiệu tang α = yo/xo
+ Khi α là góc nhọn, trong ΔOAM ta có:
tanα = AM/OA = yo/xo
costang của góc α là xo/yo (yo ≠ 0), ký hiệu cotα = xo/yo
+ Khi α là góc nhọn, trong ΔOAM ta có:
cotα = OA/OM = xo/yo
(Lưu ý: Trong phần giải trên mình làm gộp 2 ý, các bạn cũng có thể tách riêng từng ý, nhưng như thế khá là dài dòng.)
Bài 2 trang 62 SGK Hình học 10
Tại sao hai góc bù nhau lại có sin bằng nhau và coossin đối nhau?
Lời giải:

Gọi M(xo; yo) nằm trên nửa đường tròn đơn vị sao cho ∠xOM = α
Khi đó điểm M'(-xo; yo) trên nửa đường tròn đơn vị sao cho ∠xOM' = 180o - α (tức là ∠xOM' là bù với ∠xOM = α)
Do đó: sinα = yo = sin(180o - α)
cosα = xo = -(-xo) = -cos(180o - α)
Bài 3 trang 62 SGK Hình học 10
Nhắc lại định nghĩa tích vô hướng của hai vectơ a→ và b→. Tích vô hướng này với |a→| và |b→| không đổi đạt giá trị lớn nhất và nhỏ nhất khi nào?
Lời giải:
- Định nghĩa tích vô hướng:

- Từ định nghĩa trên, khi |a→| và |b→| không đổi thì:

Bài 4 trang 62 SGK Hình học 10
Trong mặt phẳng Oxy cho vectơ a→(-3; 1) và b→(2; 2). Hãy tính tích vô hướng a→.b→.
Lời giải:
Ta có:
a→.b→ = -3.2 +1.2 = -4
Bài 5 trang 62 SGK Hình học 10
Hãy nhắc lại định lí côsin trong tam giác. Từ các hệ thức này hãy tính cosA, cosB, cosC theo các cạnh của tam giác.
Lời giải:
Định lí côsin trong tam giác ABC có:

Bài 6 trang 62 SGK Hình học 10
Từ hệ thức a2 = b2 + c2 - 2bccosA trong tam giác, hãy suy ra định lý Pi-ta-go.
Lời giải:
Xét ΔABC vuông tại A, ta có:
a2 = b2 + c2 - 2bccosA
⇔a2 = b2 + c2 - 2bccos90o
⇔a2 = b2 + c2 (vì cos90o = 0)
Đây chính là định lí Pi-ta-go.
Bài 7 trang 62 SGK Hình học 10
Chứng minh rằng với mọi tam giác ABC, ta có a = 2RsinA, b = 2RsinB, c = 2RsinC, trong đó R là bán kính đường tròn ngoại tiếp tam giác.
Lời giải:
Theo định lí sin trong tam giác ABC ta có:
a/sin A = b/sin B = c/sin C
Suy ra: a = 2RsinA, b = 2RsinB, c = 2RsinC (đpcm)
Bài 8 trang 62 SGK Hình học 10
Trong tam giác ABC. Chứng minh rằng
a) Góc A nhọn khi và chỉ khi a2 < b2 + c2
b) Góc A tù khi và chỉ khi a2 > b2 + c2
c) Góc A vuông khi và chỉ khi a2 = b2 + c2
Lời giải:
Theo hệ quả định lí côsin ta có:
cos A = b2 + c2 - a2/2ab
a) a2 < b2 + c2 ⇔ b2 + c2 - a2 > 0 ⇔ cosA > 0
⇔ A là góc nhọn
Vậy góc A nhọn khi và chỉ khi a2 < b2 + c2
b) a2 > b2 + c2 ⇔ b2 + c2 - a2 < 0 ⇔ cosA < 0
⇔ A là góc tù
Vậy góc A tù khi và chỉ khi a2 > b2 + c2
c) a2 = b2 + c2
Theo định lí Pitago suy ra A là góc vuông
Vậy góc A vuông khi và chỉ khi a2 = b2 + c2
(Lưu ý: ở phần c) bạn có thể làm như a) và b) để suy ra cosA = 0 cũng được)
Bài 9 trang 62 SGK Hình học 10
Cho tam giác ABC có ∠A = 60o, BC = 6. Tính bán kính đường tròn ngoại tiếp tam giác đó
Lời giải:
Theo định lí sin trong tam giác ABC ta có:
BC/sinA = 2R ⇒ R = BC/2sin A = 6/2.sin60o = 6/
\(\sqrt{3}\) = 2
\(\sqrt{3}\)
Bài 10 trang 62 SGK Hình học 10
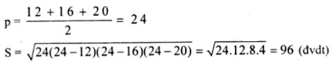
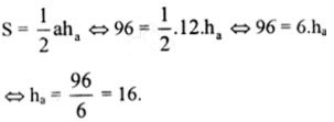
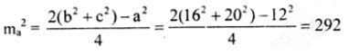
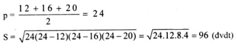
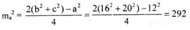
Cho tam giác ABC có a = 12, b = 16, c = 20. Tính diện tích S của tam giác, chiều cao ha, bán kính R, r của các đường tròn ngoại tiếp, nội tiếp tam giác và đường trung tuyến macủa tam giác.
Lời giải:
- Tính diện tích

- Tính ha

- Tính R

- Tính r

- Tính ma

=> ma = √292 = 17,09
Bài 11 trang 62 SGK Hình học 10
Trong tập hợp các tam giác có hai cạnh là a và b, tìm tam giác có diện tích lớn nhất.
Lời giải:
Ta có:
S = 1/2 ab sinC
Do đó để tam giác có diện tích lớn nhất thì sinC lớn nhất.
=> sinC = 1 => ∠C = 90o
Vậy trong tập hợp các tam giác có hai cạnh là a, b thì tam giác vuông có hai cạnh góc vuông là a, b có diện tích lớn nhất.
---------------------------------------------
Trên đây VnDoc.com đã giới thiệu tới bạn đọc tài liệu: Giải bài tập Hình học 10: Ôn tập chương 2. Để có kết quả cao hơn trong học tập, VnDoc xin giới thiệu tới các bạn học sinh cùng tham khảo thêm một số tài liệu học tập các môn tại các mục sau giải bài tập Toán lớp 10, giải bài tập Toán lớp 12, Thi thpt quốc gia môn Toán, Thi thpt Quốc gia môn Văn, đề thi học kì 2 lớp 12, Thi thpt Quốc gia môn Lịch sử mà VnDoc tổng hợp và đăng tải.