Giải bài tập trang 80, 81 SGK Hình học 10: Phương trình đường thẳng
Giải bài tập trang 80, 81 SGK Hình học 10: Phương trình đường thẳng
Giải bài tập trang 80, 81 SGK Hình học 10: Phương trình đường thẳng. Lời giải bài tập Toán 10 Hình học này gồm phần tóm tắt kiến thức trọng tâm của bài phương trình đường thẳng và gợi ý cách giải bài tập trang 80, 81 SGK Hình học 10 sẽ giúp các bạn học sinh dễ dàng hệ thống lại kiến thức lý thuyết đã học trên lớp đồng thời rèn luyện kỹ năng giải các bài tập trong SGK. Mời các bạn tham khảo!
Đề thi giữa học kì 2 môn Toán lớp 10 trường THPT Nguyễn Trung Trực, An Giang năm học 2016 - 2017
Lý thuyết phương trình đường thẳng
1. Vectơ chỉ phương của đường thẳng
Định nghĩa: vectơ
được gọi là vectơ chỉ phương của đường thẳng ∆ nếu
và giá của
song song hoặc trùng với ∆

Nhận xét
- Nếu
là một vectơ chỉ phương của đường thẳng ∆ thì k
(k ≠ 0) cũng là một vectơ chỉ phương của ∆, do đó một đường thẳng có vô số vectơ chỉ phương. - Một đường thẳng hoàn toàn được xác định nếu biết môt điểm và một vectơ chỉ phương của đường thẳng đó.
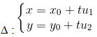
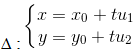
2. Phương trình tham số của đường thẳng
- Phương trình tham số của đường thẳng ∆ đi qua điểm M0(x0; y0) và nhận vectơ
= (u1; u2) làm vectơ chỉ phương là:

- Khi hệ số u1 ≠ 0 thì tỉ số k = u1/u2 được gọi là hệ số góc của đường thẳng.
- Từ đây, ta có phương trình đường thẳng ∆ đi qua điểm M0(x0; y0) và có hệ số góc k là: y – y0 = k(x – x0)
Chú ý: Ta đã biết hệ số góc k = tanα với góc α là góc của đường thẳng ∆ hợp với chiều dương của trục Ox
3. Vectơ pháp tuyến của đường thẳng
Định nghĩa: Vectơ
được gọi là vec tơ pháp tuyến của đường thẳng ∆ nếu
và
vuông góc với vectơ chỉ phương của ∆
Nhận xét:
- Nếu
là một vectơ pháp tuyến của đường thẳng ∆ thì k
(k ≠ 0) cũng là một vectơ pháp tuyến của ∆, do đó một đường thẳng có vô số vec tơ pháp tuyến. - Một đường thẳng được hoàn toàn xác định nếu biết một và một vectơ pháp tuyến của nó.
4. Phương trình tổng quát của đường thẳng
Định nghĩa: Phương trình ax + by + c = 0 với a và b không đồng thời bằng 0, được gọi là phương trinh tổng quát của đường thẳng.
Trường hợp đặc biết:
- Nếu a = 0 => y = -c/b; ∆ // Ox
- Nếu b = 0 => x = -c/a; ∆ // Oy
- Nếu c = 0 => ax + by = 0 => ∆ đi qua gốc tọa độ
- Nếu ∆ cắt Ox tại (a; 0) và Oy tại B (0; b) thì ta có phương trình đường thẳng ∆ theo đoạn chắn: (x/a + y/b) = 1
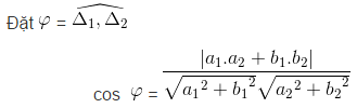
5. Vị trí tương đối của hai đường thẳng
Xét hai đường thẳng ∆1 và ∆2 có phương trình tổng quát lần lượt là:
a1x + b1y + c1 = 0 và a2 + b2y + c2 = 0
Điểm M0(x0; y0) là điểm chung của ∆1 và ∆2 khi và chỉ khi (x0; y0) là nghiệm của hệ hai phương trình

Ta có các trường hợp sau:
a) Hệ (1) có một nghiệm: ∆1 cắt ∆2
b) Hệ (1) vô nghiệm: ∆1 // ∆2
c) Hệ (1) có vô số nghiệm: ∆1 = ∆2
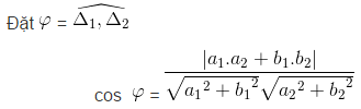
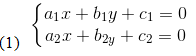
6. Góc giữa hai đường thẳng
Hai đường thẳng ∆1 và ∆2 cắt nhau tạo thành 4 góc. Nếu ∆1 không vuông góc với ∆2 thì góc nhọn trong số bốn góc đó được gọi là góc giữa hai đường thẳng ∆1 và ∆2. Nếu ∆1 vuông góc với ∆2 thì ta nói góc giữa ∆1 và ∆2 bằng 900. Trường hợp ∆1 và ∆2 song song hoặc trùng nhau thì ta quy ước góc giữa ∆1 và ∆2 bằng 00. Như vậy gương giữa hai đường thẳng luôn bé hơn hoặc bằng 900
Góc giữa hai đường thẳng ∆1 và ∆2 được kí hiệu là ![]()
Cho hai đường thẳng ∆1 = a1x + b1y + c1 = 0
∆2 = a2 + b2y + c2 = 00

Chú ý:
- ∆1 ⊥ ∆2 <=> n1 ⊥ n2 <=> a1a2 + b1b2 = 0
- Nếu ∆1 và ∆2 có phương trình y = k1x + m1 và y = k2x + m2 thì ∆1 ⊥ ∆2 <=> k1.k2 = -1.
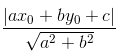
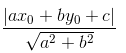
7. Công thức tính khoảng cách từ một điểm đến một đường thẳng
Trong mặt phẳng Oxy cho đường thẳng ∆ có phương trình ax + by + c = 0 và điểm M0(x0; y0). Khoảng cách từ điểm M0 đến đường thẳng ∆ kí hiệu là (M0; ∆), được tính bởi công thức d(M0; ∆) = 
Giải bài tập trang 80, 81 SGK Hình học 10
Bài 1 trang 80 sgk hình học 10
Lập phương trình tham số của đường thẳng d trong mỗi trường hợp sau:

Bài 2 trang 80 sgk hình học 10
Lập phương trình tổng quát của đường thẳng ∆ trong mỗi trường hợp sau:
a) ∆ đi qua điểm M (-5; -8) và có hệ số góc k = -3
b) ∆ đi qua hai điểm A(2; 1) và B(-4; 5)
Hướng dẫn giải:
a) Phương trình của ∆ là : y + 8 = -3(x + 5) <=> 3x + y + 23 = 0
b) Đường thẳng ∆ đi qua A(2; 1) và B(-4; 5) nhận vectơ = (-6; 4) là một vectơ chỉ phương
Phương trình tham số của ∆: 
Khử t giữa hai phương trình ta được phương trình tổng quát: ∆ : 2x + 3y - 7 = 0
Tài liệu vẫn còn, mời bạn tải về