Giải bài tập Đại số 10: Ôn tập cuối năm
Giải bài tập Đại số lớp 10 Ôn tập cuối năm
VnDoc xin giới thiệu tới bạn đọc tài liệu Giải bài tập Đại số 10: Ôn tập cuối năm, tài liệu gồm 12 bài tập kèm theo lời giải chi tiết sẽ là nguồn thông tin hữu ích để giúp các bạn học sinh có kết quả cao hơn trong học tập. Mời thầy cô cùng các bạn học sinh tham khảo.
Giải bài tập 1, 2, 3, 4, 5, 6, 7, 8, 9, 10, 11, 12 trang 159, 160, 161 SGK Đại số 10
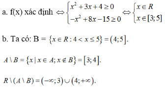
Bài 1 (trang 159 SGK Đại số 10):
Lời giải

Bài 2 (trang 160 SGK Đại số 10): Cho phương trình: mx2 - 2x - 4m - 1 = 0
a. Chứng mình rằng với mọi giá trị của m ≠ 0 phương trình đã cho có hai nghiệm phân biệt.
b. Tìm giá trị của m để -1 là một nghiệm của phương trình. Sau đó tìm nghiệm còn lại.
Lời giải

Bài 3 (trang 160 SGK Đại số 10): Cho phương trình: x2 - 4mx +9(m-1)2
a. Xem xét với các giá trị nào của m thì phương trình trên có nghiệm?
b. Gỉa sử x1, x2 là nghiệm của phương trình đã cho, hãy tính tổng và tích của chúng. Tìm một hệ thức giữa x1 và x2 độc lập với m.
c. Xác định giá trị của m để hiệu các nghiệm của phương trình bằng 4.
Lời giải


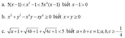
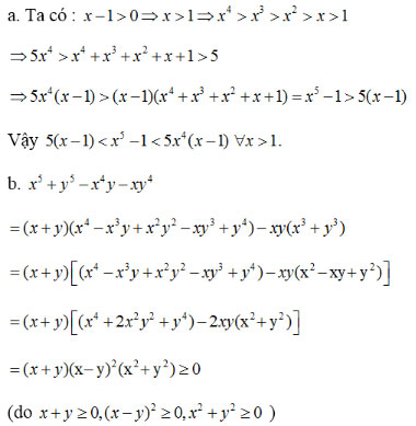
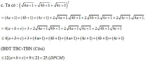
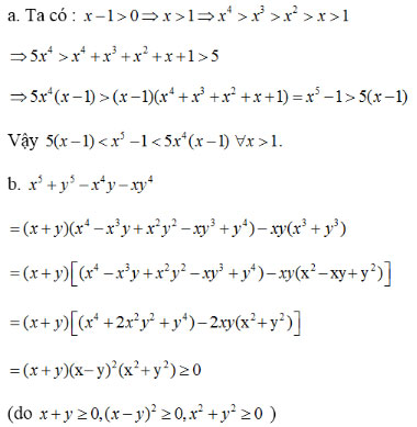
Bài 4 (trang 160 SGK Đại số 10): Chứng minh rằng các bất đẳng thức:

Lời giải


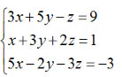
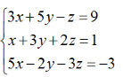
Bài 5 (trang 160 SGK Đại số 10): Giải hệ phương trình sau bằng cách đưa về hệ tam giác:

Lời giải

Bài 6 (trang 160 SGK Đại số 10):
a. Xét dấu của biểu thức f(x) = 2x(x+2) - (x+2)(x+1)
b. Xét sự biến thiên và vẽ trong cùng một hệ tọa độ vuông góc đồ thị của các hàm số: y = 2x(x+2) (C1) và y = (x+2)(x+1)(C2)
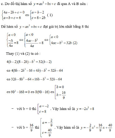
c. Tính các hệ số a, b, c để hàm số y = ax2 + bx + c có giá trị lớn nhất bằng 8 và độ thị của nó đi qua A và B.
Lời giải




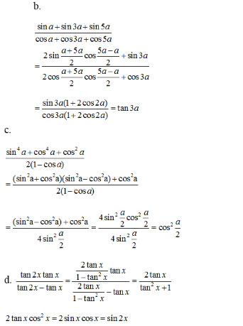
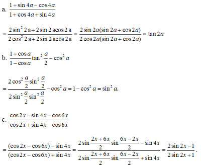
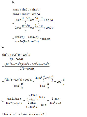
Bài 7 (trang 161 SGK Đại số 10): Chứng minh các hệ thức sau:

Lời giải


Bài 8 (trang 161 SGK Đại số 10): Rút gọn các biểu thức sau:

Lời giải

Bài 9 (trang 161 SGK Đại số 10): Tính:

Lời giải



Bài 10 (trang 161 SGK Đại số 10): Rút gọn:

Lời giải


Bài 11 (trang 161 SGK Đại số 10): Chứng minh rằng trong tam giác ABC, ta có:
a. tanA + tanB + tanC = tanAtanBtanC
b. sin2A + sin2B + sin2C = 4sinAsinBsinC
Lời giải

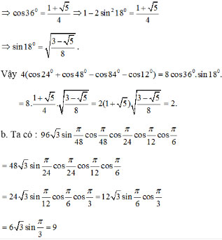
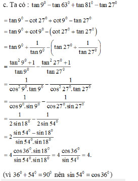
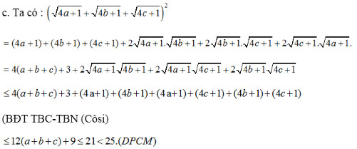
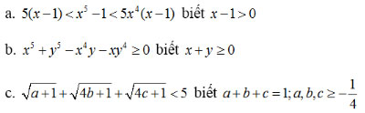
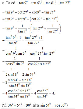
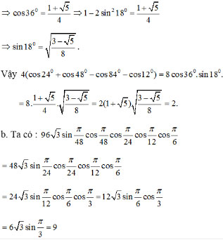
Bài 12 (trang 161 SGK Đại số 10): Không sử dụng máy tính, hãy tính:
![]()
Lời giải

---------------------------------------------
Trên đây VnDoc.com đã giới thiệu tới bạn đọc tài liệu: Giải bài tập Đại số 10: Ôn tập cuối năm. Để có kết quả cao hơn trong học tập, VnDoc xin giới thiệu tới các bạn học sinh tài liệu giải bài tập Toán lớp 10, giải bài tập Toán lớp 12, Thi thpt quốc gia môn Toán, Thi thpt Quốc gia môn Văn, đề thi học kì 2 lớp 12, Thi thpt Quốc gia môn Lịch sử mà VnDoc tổng hợp và đăng tải.
