Giải bài tập Hình học 10 bài 4: Hệ trục tọa độ
Toán lớp 10 chương 1: Hệ trục tọa độ
VnDoc.com xin giới thiệu tới bạn đọc tài liệu: Giải bài tập Hình học 10 bài 4: Hệ trục tọa độ, với bộ câu hỏi bài tập kèm theo lời giải chi tiết sẽ giúp các bạn học sinh học tập hiệu quả hơn môn Toán. Lời giải bài tập Toán 10 Hình học này sẽ giúp các bạn học sinh rèn luyện cách giải bài tập Toán 10 nhanh và chính xác. Mời các bạn học sinh và thầy cô tham khảo.
Giải bài tập trang 17 SGK Hình học 10: Tích của vectơ với một số
Giải bài tập Hình học 10 bài 1: Giá trị lượng giác của một góc bất kì từ 0 độ đến 180 độ
Giải bài tập Hình học 10 bài 4: Hệ trục tọa độ
Bài 1 (trang 26 SGK Hình học 10): Trên trục (O, e) cho các điểm A, B, M, N có tọa độ lần lượt là -1, 2, 3, -2
a) Hãy vẽ trục và biểu diễn các điểm đã cho trên trục;
b) Tính độ dài đại số của


Bài 2 (trang 26 SGK Hình học 10): Trong mặt phẳng tọa độ, các mệnh đề sau đúng hay sai?

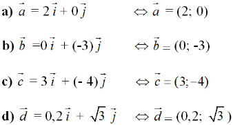
Bài 3 (trang 26 SGK Hình học 10): Tìm tọa độ của các vectơ sau:

Lời giải

(Biểu diễn các tọa độ các vectơ dưới dạng tổng của hai vectơ i và j)
Bài 4 (trang 26 SGK Hình học 10): Trong mặt phẳng Oxy. Các khẳng định sau đúng hay sai?
a) Tọa độ của điểm A bằng tọa độ của vectơ OA;
b) Điểm A nằm trên trục hoành thì có tung độ bằng 0;
c) Điểm A nằm trên trục tung thì có hoành độ bằng 0;
d) Hoành độ và tung độ của điểm A bằng nhau khi và chỉ khi A nằm trên tia phân giác của góc phần tư thứ nhất.
Lời giải:
a) Đúng
b) Đúng
c) Đúng
d) Đúng (vì phân giác góc phần tư thứ nhất có phương trình y = x)
Bài 5 (trang 27 SGK Hình học 10): Trong mặt phẳng tọa độ Oxy cho điểm M(xo, yo).
a) Tìm tọa độ của điểm A đối xứng với M qua trục Ox;
b) Tìm tọa độ của điểm B đối xứng với M qua trục Oy;
c) Tìm tọa độ của điểm C đối xứng với M gốc O.
Lời giải:

a) Hai điểm đối xứng nhau qua trục hoành thì có hoành độ bằng nhau và tung độ đối nhau.
=> Tọa độ A(xo, -yo)
b) Hai điểm đối xứng với nhau qua trục tung thì có tung độ bằng nhau còn hoành độ thì đối nhau.
=> Tọa độ B(-xo, yo)
c) Hai điểm đối xứng nhau qua gốc O thì các tọa độ tương ứng đối nhau.
=> Tọa độ C(-xo, -yo)
Bài 6 (trang 27 SGK Hình học 10): Cho hình bình hành ABCD có A(-1; -2), B(3;2), C(4; -1). Tìm tọa độ của đỉnh D.
Lời giải:

Bài 7 (trang 27 SGK Hình học 10): Các điểm A'(-4; 1), B'(2; 4), C'(2; -2) lần lượt là trung điểm các cạnh BC, CA và AB của tam giác ABC. Tính tọa độ các đỉnh của tam giác ABC. Chứng minh rằng trọng tâm của tam giác ABC và A'B'C' trùng nhau.
Lời giải:

Bài 8 (trang 27 SGK Hình học 10): Cho vectơ a = (2; -2), vectơ b = (1; 4). Hãy phân tích vectơ c (5; 0) theo hai vectơ a và b.
