Giải bài tập trang 49, 50 SGK Đại số 10 chương 2: Hàm số bậc hai
Giải bài tập trang 49, 50 SGK Đại số 10 chương 2
Giải bài tập trang 49, 50 SGK Đại số 10 chương 2: Hàm số bậc hai hướng dẫn giải chi tiết các bài tập tương ứng với từng bài học trong sách giúp cho các em học sinh ôn tập và củng cố kiến thức hiệu quả, học tốt môn Toán lớp 10.
Giải bài tập trang 24, 25 SGK Đại số 10: Ôn tập chương 1
Giải bài tập trang 38, 39 SGK Đại số 10 chương 2: Hàm số
Giải bài tập trang 41, 42 SGK Đại số 10 chương 2: Hàm số y = ax + b
Giải bài 1, 2, 3, 4 trang 49, 50 SGK Đại số 10: Hàm số bậc 2
A. Tóm tắt kiến thức hàm số bậc 2 – Đại số 10
Hàm số bậc hai là hàm số có công thức: y = ax2 + bx + c (a ≠ 0) có miền xác định D = R.
Bảng biến thiên:

Trong đó ∆ = b2 – 4ac.
Đồ thị hàm số y = ax2 + bx + c (a ≠ 0) là đường thẳng parabol có: đỉnh I (-b/2a; -∆/4a), trục đối xứng là đường thẳng x = -b/2a.
Giao điểm với trục: A(0; c). Hoành độ giao điểm với trục hoành là nghiệm của ax2 + bx + c = 0.
Đồ thị hàm số y = ax2 + bx + c (a ≠ 0) suy ra từ đồ thị hàm số y = ax2 bằng cách:
- Tịnh tiến song song với trục hoành |b/2a| đơn vị bên trái nếu b/2a > 0, về bên phải nếu b/2a < 0.
- Tịnh tiến song song với trục tung |-∆/4a| đơn vị lên trên nếu -∆/4a > 0, và xuống dưới nếu -∆/4a < 0.
B. Đáp án và hướng dẫn giải bài hàm số bậc 2 – SGK trang 49, 50 Đại số 10
Bài 1. (Trang 49 SGK Đại số 10 chương 2)
Xác định tọa độ của đỉnh và các giao điểm với trục tung, trục hoành (nếu có) của mỗi parabol.
a) y = x2 – 3x + 2; b) y = -2x2 + 4x – 3;
c) y = x2 – 2x; d) y = -x2 + 4.
Đáp án và gợi ý giải bài 1:
a) y = x2 – 3x + 2. Hệ số: a = 1, b = -3, c = 2.
- Hoành độ đỉnh x1 = -b/2a = -3/2
- Tung độ đỉnh

Vậy đỉnh parabol là I (3/2; -1/4).
- Giao điểm của parabol với trục tung là A(0; 2).
- Hoành độ giao điểm của parabol với trục hoành là nghiệm của phương trình:

Vậy các giao điểm của parabol với trục hoành là B(1; 0) và C(2; 0).
Tương tự các em áp dụng giải ý b, c, d:
b) y = -2x2 + 4x – 3: Đỉnh I(1; 1). Giao điểm với trục tung A(0; -3).
Phương trình -2x2 + 4x – 3 = 0 vô nghiệm. Không có giao điểm cuả parabol với trục hoành.
c) y = x2 – 2x: Đỉnh I(1;-1). Các giao điểm với hai trục tọa độ: A(0; 0), B(2; 0).
d) y = - x2 + 4: Đỉnh I(0; 4). Các giao điểm với hai trục tọa độ: A(0; 4), B(-2; 0), C(2; 0).
Bài 2. (Trang 49 SGK Đại số 10 chương 2)
Lập bảng biến thiên và vẽ đồ thị của các hàm số.
a) y = 3x2– 4x + 1; b) y = -3x2 + 2x – 1;
c) y = 4x2– 4x + 1; d) y = -x2 + 4x – 4;
e) y = 2x2 + x + 1; f) y = -x2 + x – 1.
Đáp án và gợi ý giải bài 2:
a) Bảng biến thiên:

Đồ thị:

Đồ thị hàm số y = 3x2 - 4x + 1
- Đỉnh: I(2/3;-1/3)
- Trục đối xứng: x = 2/3
- Giao điểm với trục tung A(0; 1)
- Giao điểm với trục hoành B(1/3;0), C(1; 0).
b) y = -3x2 + 2x – 1= -3 (x -1/3)2 – 2/3
Bảng biến thiên:

Vẽ đồ thị:
- Đỉnh I(1/3;-2/3)
- Trục đối xứng: x=1/3.
- Giao điểm với trục tung A(0;- 1).
- Giao điểm với trục hoành: không có.
- Ta xác định thêm mấy điểm: B(1;- 2), C(1;-6). (học sinh tự vẽ).
c) y = 4x2 – 4x + 1 = 4(x - 1/2)2.
Lập bảng biến thiên và vẽ tương tự câu a, b.
d) y = -x2 + 4x – 4 = – (x – 2)2
Bảng biến thiên:


Đồ thị hàm số y = -x2 + 4x – 4 = -(x – 2)2
Cách vẽ đồ thị:
Ngoài cách vẽ như câu a, b, ta có thể vẽ như sau:
- Vẽ đồ thị (P) của hàm số y = -x2.
- Tịnh tiến (P) song song với Ox sang phải 2 đơn vị được (P1) là đồ thị cần vẽ.
e), g) học sinh tự giải.
Bài 3. (Trang 49 SGK Đại số 10 chương 2)
Xác định parabol y = ax2 + bx + 2, biết rằng parabol đó:
a) Đi qua hai điểm M(1; 5) và N(-2; 8);
b) Đi qua hai điểm A(3;- 4) và có trục đối xứng là x = -3/2
c) Có đỉnh là I(2;- 2);
d) Đi qua điểm B(-1; 6) và tung độ của đỉnh là -1/4
Đáp án và gợi ý giải bài 3:
a) Vì parabol đi qua M(1; 5) nên tọa độ của M nghiệm đúng phương trình của parabol: 5 = a.12 + b.1 + 2.
Tương tự, với N(-2; 8) ta có: 8 = a.(-2)2 + b.(-2) + 2
Giải hệ phương trình:
ta được a = 2, b = 1.
Parabol có phương trình là: y = 2x2 + x + 2.
Tương tự các em áp dụng cách giải câu a để làm các câu tiếp theo
b) Giải hệ phương trình: 
Parabol: y = -1/3 x2 – x + 2.
c) Giải hệ phương trình: 
Parabol: y = x2 – 4x + 2.
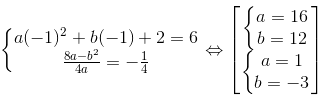
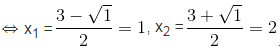
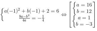
d) Ta có: 
Parabol: y = 16x2 + 12x + 2 hoặc y = x2 – 3x + 2.
Bài 4. (Trang 49 SGK Đại số 10 chương 2)
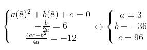
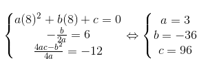
Xác định a, b, c, biết parabol y = ax2 + bx + c đi qua điểm A(8; 0) và có đỉnh I(6; -12).
Đáp án và gợi ý giải bài 4:
Tương tự như cách giải bài 3 (ở trên)
Ta có hệ phương 3 phương trình: 
Parabol: y = 3x2 – 36x + 96.

