Giải bài tập trang 57 SGK Đại số 10: Đại cương về phương trình
Giải bài tập trang 57 SGK Đại số 10
Giải bài tập trang 57 SGK Đại số 10: Đại cương về phương trình là tài liệu tham khảo hay được VnDoc.com giới thiệu tới các bạn tham khảo, hướng dẫn các bạn giải bài tập cơ bản trong sách giáo khoa môn Toán lớp 10. Chúc các bạn học tốt.
Giải bài tập trang 49, 50 SGK Đại số 10 chương 2: Hàm số bậc hai
Giải bài tập trang 50, 51 SGK Đại số 10: Ôn tập chương 2
Giải bài tập trang 62, 63 SGK Đại số 10: Phương trình quy về phương trình bậc nhất, bậc hai
Giải bài 1, 2, 3, 4 trang 57 SGK Đại số 10: Đại cương về phương trình
Bài 1. (SGK Đại số lớp 10 trang 57)
Cho hai phương trình: 3x = 2 và 2x = 3.
Cộng các vế tương ứng của hai phương trình đã cho. Hỏi:
a) Phương trình nhận được có tương đương với một trong hai phương trình đã cho hay không?
b) Phương trình đó có phải là phương trình hệ quả của một trong hai phương trình đã cho hay không?
Giải bài 1:
a) 3x = 2 ⇔ x = 2/3;
2x = 3 ⇔ x = 3/2.
Cộng các vế tương ứng của hai phương trình ta được 5x = 5 ⇔ x = 1 nên phương trình mới không tương đương với một trong hai phương trình đã cho.
b) Phương trình này cũng không phải là phương trình hệ quả của một trong hai phương trình vì nghiệm của 3x = 2 hoặc 2x = 3 không là nghiệm của 5x = 5.
(Giải thích thêm: nghiệm của một trong hai phương trình đã cho không là nghiệm của phương trình mới.)
Bài 2. (SGK Đại số lớp 10 trang 57)
Cho hai phương trình: 4x = 5 và 3x = 4.
Nhân các vế tương ứng của hai phương trình đã cho. Hỏi
a) Phương trình nhận được có tương đương với một trong hai phương trình đã cho hay không?
b) Phương trình đó có phải là phương trình hệ quả của một trong hai phương trình đã cho hay không?
Giải bài 2:
a) Nhân các vế tương ứng của hai phương trình ta được

Phương tình này không tương đương với phương trình nào trong các phương trình đã cho.

b) Phương trình mới cũng không là phương trình hệ quả của một phương trình nào đã cho.
Bài 3. (SGK Đại số lớp 10 trang 57)
Giải các phương trình
a) √(3 - x) + x = √(3 - x) + 1;
b) x + √(x - 2) = √(2 - x) + 2;
c) x2/√(x - 1) = 9/√(x - 1);
d) x2 – √(1 - x) = √(x - 2) + 3.
Giải bài 3:
a) ĐKXĐ: x ≤ 3.
√(3 - x) +x = √(3 - x) + 1 ⇔ x = 1. Tập nghiệm S = {1}.
b) ĐKXĐ: x = 2.
Giá trị x = 2 nghiệm đúng phương trình. Tập nghiệm S = {2}.
c) ĐKXĐ: x > 1.
x2/√(x - 1) = 9/√(x - 1) ⇔ (x2 – 9)/√(x - 1) = 0
=> x = 3 (nhận vì thỏa mãn ĐKXĐ)
x = -3 (loại vì không thỏa mãn ĐKXĐ).
Tập nghiệm S = {3}.
d) √(1 - x) xác định với x ≤ 1, √(x - 2) xác định với x ≥ 2.
Không có giá trị nào của x nghiệm đúng phương trình.
Do đó phương trình vô nghiệm.
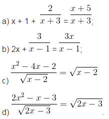
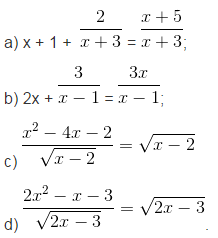
Bài 4. (SGK Đại số lớp 10 trang 57)
Giải các phương trình:

Giải bài 4:
a) ĐKXĐ: x ≠ -3. Phương trình có thể viết
x + 1 + 2/(x + 3) = 1 + 2/(x +3) => x + 1 = 1 => x = 0 (nhận)
Tập nghiệm S = {0}.
b) ĐKXĐ: x ≠ 1. Tập nghiệm S = {0}.
c) ĐKXĐ: x > 2
=> x2 – 4x – 2 = x – 2 => x = 0 (loại), x = 5 (nhận).
Tập nghiệm S = {5}.
d) ĐKXĐ: x > 3/2
=> 2x2 – x – 3 = 2x – 3 => x = 0 (loại), x = 3/2 (loại)
Phương trình vô nghiệm.