Giải bài tập Hình học 10 bài 1: Giá trị lượng giác của một góc bất kì từ 0 độ đến 180 độ
Giá trị lượng giác của một góc bất kì từ 0 độ đến 180 độ
Để học tốt hơn môn Toán lớp 10 các bạn học sinh cần rèn luyện cách giải bài tập Toán 10 nhanh và chính xác, VnDoc.com xin mời các bạn học sinh tham khảo tài liệu: Giá trị lượng giác của một góc bất kì từ 0 độ đến 180 độ để bạn đọc cùng tham khảo. Bài viết là bộ tài liệu kèm theo lời giải chi tiết chắc chắn sẽ giúp các bạn học sinh có kết quả cao hơn trong học tập. Mời các bạn cùng tham khảo chi tiết và tải về bài viết dưới đây nhé.
- Giải bài tập trang 17 SGK Hình học 10: Tích của vectơ với một số
- Giải bài tập Hình học 10 bài 4: Hệ trục tọa độ
- Giải bài tập Hình học 10 bài 2: Tích vô hướng của hai vectơ
Giải bài tập Hình học 10 bài 1: Giá trị lượng giác của một góc bất kì từ 0 độ đến 180 độ
Bài 1 trang 40 SGK Hình học 10
Chứng minh rằng trong tam giác ABC có:
a) sin A = sin(B + C)
b) cos A = -cos(B + C)
Lời giải:
a) Trong ΔABC có: A + (B + C) = 180o hay A = 180o - (B + C) nghĩa là A và (B + C) bù nhau.
Theo tính chất của hai góc bù nhau thì: sinA = sin(B+C) (đpcm)
b) Tương tự câu a, ta có: cosA = -cos(B+C) (đpcm)
Lời giải bài tập Toán 10 Hình học
Bài 2 trang 40 SGK Hình học 10
Cho AOB là tam giác cân tại O có OA = a và có các đường cao OH và AK. Giả sử ∠AOH = α. Tính AK và OK theo a và α.
Lời giải:

Bài 3 trang 40 SGK Hình học 10
Chứng minh rằng:
a) sin105o = sin75o;
b) cos170o = -cos10o;
c) cos122o = -cos58o.
Lời giải:
(Áp dụng tính chất lượng giác của hai góc bù nhau)
a) Ta có: 105o = 180o - 75o
Vậy sin105o = sin75o;
b) Ta có: 170o = 180o - 10o
Vậy cos170o = -cos10o;
c) Ta có: 122o = 180o - 58o
Vậy cos122o = -cos58
Bài 4 trang 40 SGK Hình học 10
Chứng minh rằng với mọi góc α (0o ≤ α ≤ 180o) ta đều có cos2α + sin2α = 1.
Lời giải:

Vẽ đường tròn lượng giác (O; 1). Theo định nghĩa, điểm M(xo; yo) thuộc đường tròn có:
sinα = yo
cosα = xo
Áp dụng định lí Pitago ta có:
xo2 + yo2 = OM2 = 1
⇔ cos2α + sin2α = 1 (đpcm)
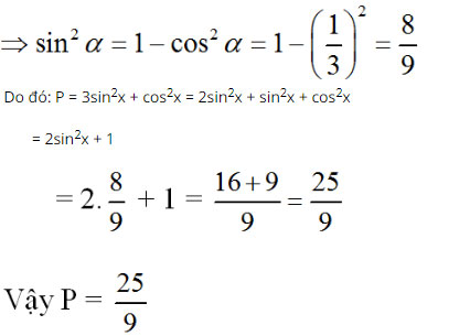
Bài 5 trang 40 SGK Hình học 10
Cho góc x, với cosx = 1/3. Tính giá trị của biểu thức: P = 3sin2x + cos2x.
Lời giải:
Ta có: sin2x + cos2x = 1

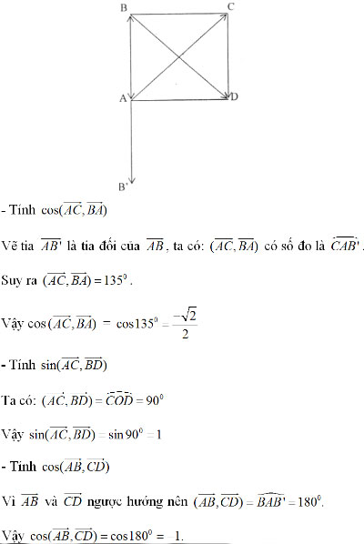
Bài 6 trang 40 SGK Hình học 10
Cho hình vuông ABCD. Tính

Lời giải

Trên đây VnDoc.com vừa gửi tới bạn đọc bài viết Giải bài tập Hình học 10 bài 1: Giá trị lượng giác của một góc bất kì từ 0 độ đến 180 độ. Chắc hẳn qua bài viết bạn đọc đã nắm được những ý chính rồi đúng không ạ? Mời các bạn cùng tham khảo thêm một số tài liệu học tập các môn tại các mục Hóa học lớp 10, Vật lý lớp 10...