Đề kiểm tra Học kỳ II lớp 11 năm 2012 - 2013, THPT Lê Thánh Tông tỉnh Gia Lai
Đề kiểm tra Học kỳ 2 lớp 11 môn Toán
SỞ GD&ĐT GIA LAI
|
KIỂM TRA HỌC KÌ II LỚP 11
|
ĐỀ THI MÔN: TOÁN (Thời gian: 90 phút)
I. PHẦN CHUNG: 7 điểm (Cho tất cả các thí sinh)
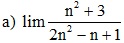
Câu 1. (2 điểm) Tìm các giới hạn sau:
![]()
![]()
Câu 2. (2 điểm)
a) Xét tính liên tục của hàm số sau tại xo = 1
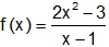
b) Cho hàm số
. Tính f'(2).
Câu 3. (3 điểm)
Cho hình chóp S.ABCD có đáy ABCD là hình vuông tâm O cạnh a, SA vuông góc với mặt phẳng (ABCD), SA = a√6.
a) Chứng minh: BD vuông góc mặt phẳng (SAC) và mặt phẳng (SCD) vuông góc với mặt phẳng (SAD).
b) Tính góc giữa đường thẳng SC và mặt phẳng (ABCD).
c) Trong mặt phẳng (SAC), dựng đường thẳng qua A vuông góc với SO tại H và cắt SC tại K. Chứng minh H là trực tâm của ΔSBD. Tính tỉ số SK/KC.
II. PHẦN RIÊNG: 3 điểm (Học sinh học chương trình nào làm theo chương trình đó)
A. Chương trình chuẩn:
Câu 4a. (2 điểm)
1. Chứng minh rằng phương trình 3x4 - 2x2 - 5x - 1 = 0 có ít nhất 2 nghiệm.
2. Viết phương trình tiếp tuyến của đồ thị hàm số y = x3 - 5x2 + 15 tại điểm có hoành độ xo = 2.
Câu 5a. (1 điểm)
Cho hàm số
. Giải phương trình f'(x) = 0.
B. Chương trình nâng cao
Câu 4b. (2 điểm)
1. Chứng minh rằng phương trình 3x4 - 2x2 - 5x - 1 = 0 có ít nhất 2 nghiệm.
2. Viết phương trình tiếp tuyến của đồ thị hàm số y = 2x3 - 3x2 + 1, biết tiếp tuyến đó vuông góc với đường thẳng (d): x + 12y - 3 = 0.
Câu 5b. (1 điểm)
Cho hàm số f(x) = 2x + sin2x - 4sinx. Chứng minh rằng với mọi x, ta có f'(x) ≥ -1. Tìm các giá trị của x để đẳng thức xảy ra.
Đề kiểm tra Học kỳ 2 lớp 11 môn Văn
ĐỀ THI MÔN: NGỮ VĂN (Thời gian: 90 phút)
Câu 1 (3 điểm).
Anh (chị) hãy viết một bài văn ngắn (khoảng 300 từ ) trình bày suy nghĩ của bản thân về lòng hiếu thảo của con cháu đối với ông bà, cha mẹ.
Câu 2 (7 điểm).
Anh (chị) hãy phân tích đoạn thơ sau đây trong bài thơ “Vội vàng” của Xuân Diệu.
“Tôi muốn tắt nắng đi
Cho màu đừng nhạt mất;
Tôi muốn buộc gió lại
Cho hương đừng bay đi.
Của ong bướm này đây tuần tháng mật;
Này đây của hoa đồng nội xanh rì;
Này đây lá của cành tơ phơ phất;
Của yến anh này đây khúc tình si;
Và này đây ánh sáng chớp hàng mi,
Mỗi buổi sớm, thần Vui hằng gõ cửa;
Tháng giêng ngon như như một cặp môi gần;
Tôi sung sướng. Nhưng vội vàng một nửa:
Tôi không chờ nắng hạ mới hoài xuân.”
(Theo Thơ thơ, NXB Đời nay, Hà Nội 1938)
Đề kiểm tra Học kỳ 2 lớp 11 môn Lịch Sử
ĐỀ THI MÔN: LỊCH SỬ (Thời gian: 45 phút)
Câu 1: (3 điểm)
Phân tích quá trình hoạt động cứu nước của Nguyễn Ái Quốc (1911- 1918)?
Câu 2: (3 điểm)
So sánh chủ trương cứu nước của Phan Bội Châu và Phan Châu Trinh vào đầu thế kỉ XX và qua đó rút ra hạn chế trong chủ trương của hai ông là gì?
Câu 3: (4 điểm)
Trình bày nguyên nhân, kết cục và tính chất của chiến tranh thế giới thứ hai?