Đề thi giữa học kì 1 môn Toán lớp 12, trường THPT Thuận Thành 3, Bắc Ninh, năm học 2017 - 2018
Đề thi giữa học kì 1 môn Toán lớp 12
VnDoc.com xin giới thiệu tới bạn đọc tài liệu: Đề thi giữa học kì 1 môn Toán lớp 12, trường THPT Thuận Thành 3, Bắc Ninh, năm học 2017 - 2018, bộ đề thi gồm 50 câu hỏi trắc nghiệm kèm theo đáp án chắc chắn sẽ giúp các bạn học sinh rèn luyện cách giải nhanh các bài tập Toán.
Đề khảo sát chất lượng môn Toán 12 trường THPT Đoàn Kết, Hai Bà Trưng, Hà Nội, năm học 2017 - 2018
Bộ đề thi học kì 1 môn Toán lớp 12 năm học 2016 - 2017 (Số 1)
Đề thi giữa học kì 1 môn Toán lớp 12, trường THPT Thuận Thành 3, Bắc Ninh, năm học 2017 - 2018
Câu 1: Cho hàm số
Hàm số liên tục tại x = 1 với:
A. a = 3
B. a = 4
C. a = 2
D. a = 1
Câu 2: Hàm số
\(y\ =\ \frac{\sin\ x\ -\ 3}{\cos\ x}\) có tập xác định là:

Câu 3: Cho hình chóp S.ABCD có đáy ABCD là hình chữ nhật. SA vuông góc với mặt đáy. Khẳng định nào sau đây là sai:
A. Góc giữa SC và (ABCD) là góc SCˆA
B. Góc giữa SC và (SAB) là góc SBˆC
C. Góc giữa SB và (ABCD) là góc SBˆA
D. Góc giữa SC và (SAB) là góc CSˆB
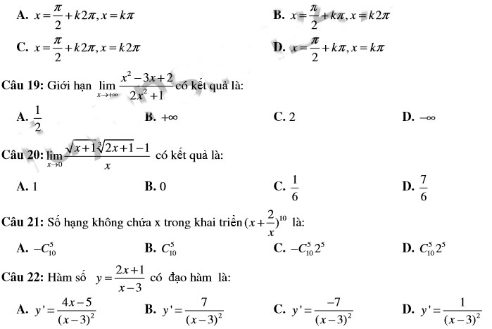
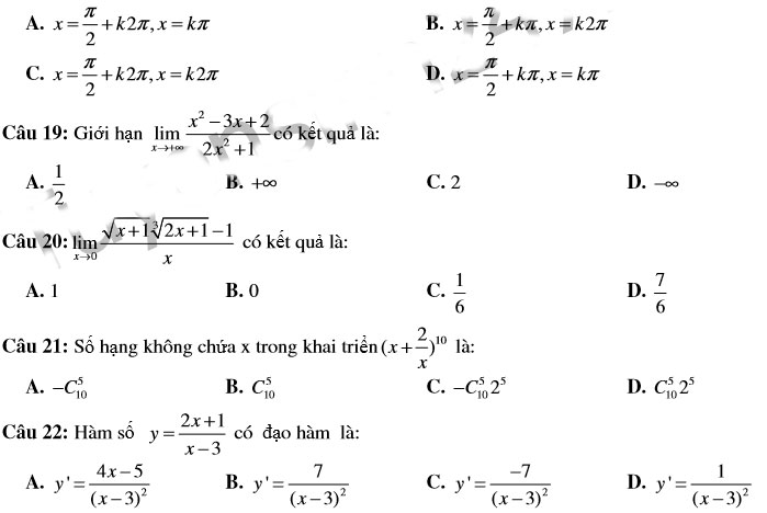
Câu 4: Phương trình 3sin x + 4 cos x = m có nghiệm khi:
A. -5 ≤ m ≤ 5
B. m ≥ 5
C. m ≤ 7
D. m ≤ -5
Câu 5: Cho hình chóp S.ABCD có đáy ABCD là hình vuông cạnh a, đáy. Góc giữa SC và mặt đáy bằng: SA = a
\(\sqrt{6}\) và vuông góc với mặt. Góc giữa SC và mặt đáy bằng:
A. 60o
B. 90o
C. 30o
D. 45o
Câu 6: Cho hình chóp S.ABCD có đáy là hình chữ nhật, AB=a, AD=2a. SA vuông góc với mặt đáy. Khoảng cách giữa SA và CD là:
A. 2a
B. a
C.
\(a\sqrt{5}\)
D.
\(a\sqrt{3}\)
Câu 7: Phương trình tiếp tuyến của đồ thị hàm số y = x3 + x tại điểm M(1;2) là:
A. y = 4x - 6
B. y = 4x - 2
C. y = 2x -1
D. y = 2x - 3

A. x - 2 y - 4 = 0
B. x - 2 y + 4 = 0
C. x + 2 y + 4 = 0
D. x - 2 y + 3 = 0
Câu 11: Cho hình chóp S.ABCD có đáy là hình vuông cạnh a, SA vuông góc với mặt đáy. Gọi M là trung điểm của CD, góc giữa SM và mặt đáy bằng 60o .Độ dài cạnh SA là:
A.
\(a\sqrt{3}\)
B.
\(a\sqrt{15}\)
C.
\(\frac{a\sqrt{3}}{2}\)
D.
\(\frac{a\sqrt{15}}{2}\)
Câu 12: Hàm số
\(y\ =\ x\sqrt{x^2+1}\) có đạo hàm là:

Câu 13: Lớp 12A có 18 đoàn viên. Số cách chọn 3 đoàn viên đi dự đại hội đoàn trường là:
A. P3
B.
\(C_8^3\)
C.
\(A_8^3\)
D. 51
Câu 14: Cho hàm số là: y = x4 - 2x2 + 3 có đồ thị (C ).Phương trình tiếp tuyến của đồ thị tại điểm A(0; 3)
A. y = -x + 3
B. y = x + 3
C. y = 3
D. y = 4x + 3
Câu 15: Hàm số y = sinx + 3cos x có đạo hàm là:
A. y ' = cos x + 3sin x
B. y ' = cos x - 3sin x
C. y ' = cos x + 3
D. y ' = -2 sin x
Câu 16: Nghiệm của phương trình
\(\sqrt{3}\sin2x\ +3\cos\ x\ =\ 1\) là:

Câu 17: Từ các chữ số 1, 2, 3,4, 5,6, 7, 8, 9 lập các số có 5 chữ số khác nhau. Số các số mà tổng các chữ số của nó là số lẻ là:
A. 120
B. 66
C. 7920
D. 15120
Câu 18: Nghiệm của phương trình cos2 x - cos x = 0 là:

Câu 23: Cho hình chóp tam giác đều S.ABC có tất cả các cạnh bằng
A.
\(a\sqrt{6}\)
B.
\(\frac{a\sqrt{6}}{9}\)
C.
\(3a\sqrt{6}\)
D. Khoảng cách từ A đến mặt phẳng (SBC) là:
\(\frac{a\sqrt{6}}{3}\)
Câu 24: Nghiệm của phương trình cosx=1 là:
A.
\(x\ =k\pi\)
B.
\(x=\ \frac{-\pi}{2}+2k\pi\)
C.
\(x=\ 2k\pi\)
D.
\(x=\frac{\pi}{2}+k2\pi\)
Câu 25: Cho hàm số đồ thị với trục tung là: y = x3 - 3x + 2 có đồ thị (C ).Phương trình tiếp tuyến của đồ thị tại giao điểm của?
A. y = 3x - 2
B. y = -3x + 2
C. y = -3x - 2
D. y = 3x + 2
Câu 26: Hàm số y = x5 - 4x3 + 2x có đạo hàm là:
A. y ' = 5x4 - 12x2
B. y ' = 5x4 - 12 x2 + 2
C. y ' = 5x4
D. y ' = 5x4 - 12 x2 + 2 x
Câu 27: Số nghiệm của phương trình 1+ s inx.cos2 x + s inx + cos2 x = 0 thuộc đoạn (
\(-\pi;\ 2\pi\)) là:
A. 4
B. 1
C. 2
D. 3
Câu 28: Hàm số y = -x3 + 3x2 + 2 có đồ thị (C). Tiếp tuyến của đồ thị tại M(1; 4) cắt trục hoành và trục tung lần lượt tại A, B. Diện tích của tam giác OAB là:
A.
\(\frac{1}{6}\)
B.
\(\frac{1}{3}\)
C.
\(\frac{1}{2}\)
D. 1
Câu 29: Cho hình chóp tứ giác đều S.ABCD. Chọn khẳng định sai:
A. Chân đường cao trùng với tâm của đa giác đáy
B. SA vuông góc với mặt đáy
C. Đáy ABCD là hình vuông
D. Các cạnh bên bằng nhau
Câu 30: Nghiệm của phương trình 2sinx-1=0 là:

Câu 31: Cho hình chóp S.ABC có đáy là tam giác đều cạnh a, SA =
\(\frac{a}{2}\) và vuông góc với mặt đáy. Góc giữa (SBC) và (ABC) là:
A. 45o
B. 60o
C. 90o
D. 30o
Câu 32: Từ các chữ số 0, 1, 2, 3, 5 lập được số các số tự nhiên lẻ có 5 chữ số khác nhau là:
A. 288
B. 120
C. 54
D. 1500
Câu 33: Cho tứ diện OABC có OA=2, OB=3, OC=4 và OA, OB, OC đôi một vuông góc với nhau. Khoảng cách từ O đến mặt phẳng (ABC) là:
A.
\(\frac{12}{5}\)
B.
\(\frac{13}{\sqrt{61}}\)
C.
\(\frac{12}{\sqrt{61}}\)
D.
\(\frac{6}{\sqrt{13}}\)

Câu 35: Số cách xếp 5 đại biểu ngồi vào một bàn dài có 5 ghế là:
A. 1
B. 4!
C. 5
D. 5!
Câu 36: Phương trình 2 sin2 x + 3sin x + m = 0 có nghiệm khi:
A. m ≤ 1
B. m ≥ 9/8
C. m ≤ -5
D. - 5 ≤ m ≤ 9/8
Câu 37: Cho hình chóp S.ABC có đáy là tam giác đều AB=a. SA =2a và vuông góc với mặt đáy. Khoảng cách giữa SB và AC là:
A.
\(\frac{2a}{\sqrt{5}}\)
B. a
C.
\(\frac{2a\sqrt{57}}{19}\)
D.
\(\frac{a\sqrt{57}}{19}\)


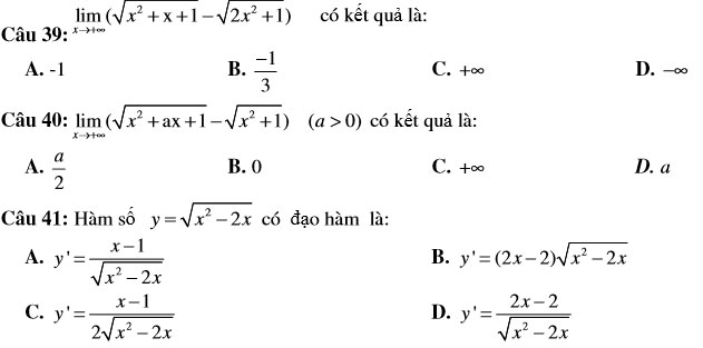
Câu 42: Cho hàm số
\(y\ =\ \frac{2x\ +3}{x+2}\) có đồ thị (C ).Phương trình tiếp tuyến của đồ thị có hệ số góc k=1 là:
A. y = x + 2, y = x + 6
C. y = x + 2, y = x - 6
B. y = x - 2, y = x - 6
D. y = x - 2, y = x + 6
Câu 43: Cho hàm số
\(y\ =\ \frac{-1}{3}\ x^{3\ }-\ 2x\ +\ 6x+\ 2\) Có đồ thị (C ). Gọi k là hệ số góc của các tiếp tuyến của đồ thị. Giá trị lớn nhất của k là:
A. 6
B. - 6
C. - 10
D. 10
Câu 44: Cho đa giác lồi có 10 cạnh, trong đó không có 3 đường chéo nào đồng quy tại một điểm khác đỉnh của đa giác (3 đường chéo nếu đồng quy chỉ có thể đồng quy tại đỉnh của đa giác). Số giao điểm của các đường chéo của đa giác là:
A. 439
B. 435
C. 220
D. 216
Câu 45: Cho hình chóp tứ giác đều S.ABCD có đáy là hình vuông cạnh a, góc giữa mặt bên và mặt đáy bằng 60o. M là trung điểm của CD, N là trung điểm của BC. Khoảng cách từ A đến (SMN) là:

Câu 46: Cho hình chóp tam giác đều S.ABC có cạnh đáy bằng a, góc giữa cạnh bên và mặt đáy bằng 60o. Chiều cao của hình chóp là:
A.
\(\frac{a\sqrt{3}}{2}\)
B. a
C.
\(\frac{a\sqrt{55}}{8}\)
D.
\(\frac{a\sqrt{55}}{6}\)
Câu 47: Cho hình chóp S.ABCD có đáy là hình chữ nhật, AB=a, AD=2a, SA=2a. (SAC) và (SBD) cùng vuông góc với mặt đáy. M là trung điểm của SD. Khoảng cách từ A đến (MBC) là:
A.
\(\frac{a\sqrt{55}}{10}\)
B.
\(\frac{3a\sqrt{55}}{40}\)
C.
\(\frac{a\sqrt{55}}{8}\)
D.
\(\frac{a\sqrt{55}}{6}\)
Câu 48: Từ các chữ số 0, 1, 2, 3, 4 lập được số các số tự nhiên có 7 chữ số trong đó chữ số 3 có mặt đúng 3 lần còn các chữ số còn lại có mặt đúng một lần là:
A. 840
B. 2160
C. 360
D. 720
Câu 49: Cho hình chóp S.ABC có SA vuông góc với mặt đáy,AM là đường cao của tam giác ABC. Khẳng định nào sau đây là đúng:
A. SM vuông góc với (ABC)
B. BC vuông góc với SM
C. AM vuông góc với SM
D. AM vuông góc với (SBC)
Câu 50: Cho hình chóp S.ABC có đáy là tam giác vuông cân tại A, AB=a, SA=a và vuông góc với mặt
đáy. Góc giữa SB và SC là:
A. 60o
B. 30o
C. 90o
D. 45o
Đáp án đề thi giữa học kì 1 môn Toán lớp 12
| Câu | Đáp án | Câu | Đáp án |
| 1 | C | 26 | B |
| 2 | C | 27 | C |
| 3 | B | 28 | A |
| 4 | A | 29 | B |
| 5 | A | 30 | D |
| 6 | A | 31 | D |
| 7 | B | 32 | C |
| 8 | C | 33 | C |
| 9 | D | 34 | B |
| 10 | B | 35 | D |
| 11 | D | 36 | D |
| 12 | A | 37 | C |
| 13 | B | 38 | A |
| 14 | C | 39 | D |
| 15 | B | 40 | A |
| 16 | A | 41 | A |
| 17 | C | 42 | A |
| 18 | B | 43 | D |
| 19 | A | 44 | C |
| 20 | D | 45 | A |
| 21 | D | 46 | B |
| 22 | C | 47 | A |
| 23 | D | 48 | D |
| 24 | C | 49 | B |
| 25 | B | 50 | A |
