Đề khảo sát chất lượng môn Toán 12 trường THPT Đoàn Kết, Hai Bà Trưng, Hà Nội, năm học 2017 - 2018
Đề khảo sát chất lượng môn Toán lớp 12
VnDoc.com xin giới thiệu tới bạn đọc tài liệu: Đề khảo sát chất lượng môn Toán 12 trường THPT Đoàn Kết, Hai Bà Trưng, Hà Nội, năm học 2017 - 2018. Bộ tài liệu gồm 50 câu hỏi trắc nghiệm kèm theo đáp án và lời giải chi tiết sẽ giúp các bạn học sinh rèn luyện cách giải các bài tập Toán. Mời các bạn và thầy cô tham khảo.
Đề thi khảo sát chất lượng THPT Quốc gia năm 2017 môn Toán trường THPT Đồng Đậu, Vĩnh Phúc (Lần 3)
Đề thi giữa học kì 1 môn Toán lớp 12 trường THPT Việt Đức, Hà Nội năm học 2016 - 2017
Đề khảo sát chất lượng môn Toán 12 trường THPT Đoàn Kết, Hai Bà Trưng, Hà Nội, năm học 2017 - 2018
|
SỞ GIÁO DỤC & ĐÀO TẠO HN TRƯỜNG THPT ĐK-HBT |
ĐỀ KHẢO SÁT CHẤT LƯỢNG MÔN TOÁN 12 Thời gian làm bài: 90 phút (50 câu trắc nghiệm) |
Câu 1: Hệ số góc của tiếp tuyến của đồ thị hàm số
\(y\ =\ \frac{x^{3\ }-1}{1-2x}\) tại điểm hoành độ x = 1 là:
A. 1
B. 5
C. -1
D. -5
Câu 2: Tọa độ giao điểm của đồ thị hàm số
\(y\ =\ \frac{x+2}{x-1}\) và đường thẳng y = 2x là:
A. (2;-4), (2;3)
B.
\(\left(\frac{1}{2};\ 1\right)\)
C.
\(\left(2;4\right),\ \left(-\frac{1}{2};\ 1\right)\)
D.
\(\left(2;\ 4\right)\),
\(\left(-\frac{1}{2};\ -1\right)\)
Câu 3: Hãy xác định a, b, c để hàm số
\(y=ax^2\ +bx^2\ +c\) có đồ thị như hình vẽ
A. a =
\(\frac{1}{4}\),b = -2,c = 2
B. a = 4,b = -2,c = 2
C. a = 4,b = 2,c = 2
D. a =
\(\frac{1}{4}\),b = -2, c > 0
Câu 4: Tìm các cạnh của hình chữ nhật có chu vi nhỏ nhất trong tất cả các hình chữ nhật có diện tích là 48m2
A.
\(\sqrt{84}\)m
B.
\(\sqrt{50}m\)
C.
\(\sqrt{48}m\)
D.
\(\sqrt{45}m\)
Câu 5: Đồ thị sau đây là của hàm số nào? Chọn 1 câu đúng.

A. y = x3 - 3x2 + 3x +1
C. y = x3 - 3x +1
B. y = -x3 + 3x2 + 1
D. y = -x3 - 3x2 -1
Câu 6: Số tiếp tuyến kẻ từ diểm A(1;5) tới đồ thị hàm số y = -x3 + 6x là:
A. 2
B. 0
C. 3
D. 1

Câu 12: Cho hàm số y = x4 - 2x2 + 3. Mệnh đề nào dưới đây đúng?
A. Hàm số nghịch biến trên khoảng (-1;1)
C. Hàm số nghịch biến trên khoảng (-00;-2)
B. Hàm số đồng biến trên khoảng (-1;1)
D. Hàm số đồng biến trên khoảng (-00;-2)
Câu 13: Cho khối chóp có đáy là đa giác gồm n cạnh. Chọn mệnh đề đúng trong các mệnh đề sau:
A. Số mặt của khối chóp bằng 2n
B. Số đỉnh của khối chóp bằng 2n + 1
C. Số cạnh của khối chóp bằng n + 1
D. Số mặt của khối chóp bằng số đỉnh của nó
Câu 14: Khối mười hai mặt đều là khối đa diện đều loại:
A. {4;3}
B. {3;5}
C. {3;4}
D. {5;3}
Câu 15: Hàm số y = x4 + 2x2 - 3 có giá trị cực tiểu yCT = ?
A. yCT = -5
B. yCT = 4
C. yCT = -3
D. yCT = 0
Câu 16: Số đường tiệm cận của đồ thị hàm số
\(y\ =\ \frac{x^2-5x+4}{x^2-1}\)
A. 3
B. 2
C. 1
D. 0

A. 1
B. 3
C. 2
D. 4
Câu 20: Hàm số
\(y\ =\ -x^3\ +3x\ -2\) trên đoạn
\(\left(-3;0\right)\) có giá trị lớn nhất M, giá trị nhỏ nhất m. Khi đó M + m bằng:
A. -6
B. 12
C. 14
D. 16
Câu 21: Bảng biến thiên sau đây là của hàm số nào? Chọn 1 câu đúng.

A.
\(y=\frac{x+1}{x-2}\)
B.
\(y=\ \frac{x-1}{2x+1}\)
C.
\(y\ =\frac{x+3}{2-x}\)
D.
\(y=\ \frac{2x+1}{x-2}\)
Câu 22: Cho hàm số
\(y\ =\ 2\ +\sqrt{2x^2+1}\) Mệnh đề nào dưới đây đúng
A. Hàm số đồng biến trên khoảng (-oo;0)
B. Hàm số nghịch biến trên khoảng (0;+oo)
C. Hàm số đồng biến trên khoảng (0;+oo)
D. Hàm số nghịch biến trên khoảng (-1;1)
Câu 23: Cho hình chóp S .ABCD có đáy ABCD là hình vuông với đường chéo AC = 2a. SA vuông góc với mặt phẳng (ABCD). Khoảng cách giữa hai đường thẳng SB và CD là:
A.
\(\frac{a}{\sqrt{2}}\)
B.
\(\frac{a}{\sqrt{3}}\)
C.
\(a\sqrt{2}\)
D.
\(a\sqrt{3}\)

Câu 26: Cho hình hộp đứng ABCD.A' B'C' D' có đáy là hình thoi, AC 6a, BD 8a. Chu vi của một đáy bằng 4 lần chiều cao của khối hộp. Thể tích của khối hộp ABCD.A' B'C' D' là:
A. 240
\(a^3\)
B. 120
\(a^3\)
C. 40
\(a^3\)
D. 80
\(a^3\)
Câu 27: Cho tứ diện đều ABCD có cạnh bằng a, trên các cạnh AB, AC, AD lần lượt lấy các điểm M, N ,P sao cho AB = 2 AM, AN = 2NC, AD = 2 AP. Thể tích của khối tứ diện AMNP là:
A.
\(\frac{a^3\sqrt{2}}{72}\)
B.
\(\frac{a^3\sqrt{3}}{48}\)
C.
\(\frac{a^3\sqrt{2}}{48}\)
D.
\(\frac{a^3\sqrt{2}}{12}\)
Câu 28: Cho hình chóp S .ABCD có đáy ABCD là hình chữ nhật, mặt bên SAD là tam giác đều cạnh 2a và nằm trong mặt phẳng vuông góp với mặt phẳng ( ABCD). Góc giữa mặt phẳng (SBC) và mặt phẳng ( ABCD) là 30o. Thể tích của khối chóp S .ABCD là:
A.
\(\frac{2a^3\sqrt{3}}{3}\)
B.
\(\frac{a^3\sqrt{3}}{2}\)
C.
\(\frac{4a^3\sqrt{3}}{3}\)
D.
\(2a^3\sqrt{3}\)
Câu 29: Số giao điểm n của hai đồ thị y = x4 - x2 + 3 và y = 3x2 - 1 là:
A. n = 2
B. n = 4
C. n = 3
D. n = 0
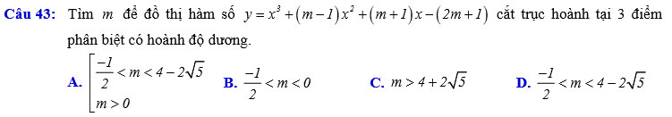
Câu 30: Tìm m để phương trình x4 - 4 x2 + m - 1 = 0 vô nghiệm.
A. m < 5
B. m > -1
C. m > -5
D. m > 5
Câu 31: Hàm số
\(y\ =\ \frac{-3x+1}{2x-3}\) có bao nhiêu điểm cực trị?
A. 2
B. 0
C. 1
D. 3
Câu 32: Tìm giá trị m để đường thẳng (d ): y = (2m + 1) x - m + 3 vuông góc với đường thẳng đi qua hai điểm cực trị của đồ thị hàm số: y = x3 - 3x2 + 1
A.
\(m\ =\ \frac{-1}{2}\)
B.
\(m=\frac{3}{2}\)
C.
\(m\ =\ \frac{-1}{4}\)
D.
\(m\ =\ \frac{3}{4}\)
Câu 33: Tìm m để hàm số
\(y\ =\ \frac{1}{3}x^3\ -mx^2\ +\left(m^2\ -m\ +1\right)+1\) đạt cực đại tại điểm x =1
A. m = 2
B. m = 3
C. m = 1
D. m = 2

Câu 38: Cho hàm số y = ( x - 1)(x2 - 3x + 3) có đồ thị (C ). Mệnh đề nào dưới đây đúng
A. (C ) cắt trục hoành tại 3 điểm
B. (C ) cắt trục hoành tại 1 điểm
C. (C ) cắt trục hoành tại 2 điểm
D. (C ) không cắt trục hoành
Câu 39: Cho lăng trụ đứng ABC.A' B'C' có đáy là tam giác vuông cân tại A, BC = 2a, A' B =
\(a\sqrt{3}\). Thể tích của khối lăng trụ đứng ABC.A' B' C' là V. Tỉ số
\(\frac{a^3}{v}\) có giá trị là:
A. 1
B.
\(\frac{1}{2}\)
C.
\(\frac{3}{2}\)
D. 2
Câu 40: Cho hàm số y = -x3 - mx2 + (4m + 9 ) x + 7, m là tham số. Tim giá trị nguyên của m để hàm số nghịch biến trên khoảng (-oo;+oo)
A. 7
B. 6
C. 4
D. 5
Câu 41: Cho hình chóp S .ABC có đáy là tam giác vuông tại A, ABC = 30o, SAB là tam giác đều cạnh a, hình chiếu vuông góc của S lên mặt phẳng (ABC) là trung điểm của cạnh AB. Thể tích của khối chóp S .ABC là:
A.
\(\frac{a^3\sqrt{3}}{9}\)
B.
\(\frac{a^3}{18}\)
C.
\(\frac{a^3\sqrt{3}}{3}\)
D.
\(\frac{a^3}{12}\)
Câu 42: Cho hàm số
\(y\ =\ \frac{mx+3}{4x-2n+5}\) Đồ thị hàm số có phương trình TCN: y = 2 và nhận trục tung làm tiệm cận đứng. Khi đó m + n bằng:
A.
\(\frac{9}{2}\)
B.
\(\frac{21}{2}\)
C.
\(\frac{11}{2}\)
D.
\(\frac{13}{2}\)

Câu 44: Số mặt phẳng đối xứng của hình đa diện đều loại {3;4} là:
A. 3
B. 8
C. 9
D. 6
Câu 45: Cho hình lập phương ABCD.A' B' C ' D' có A' C = 3a
\(\sqrt{3}\) Thể tích của khối lập phương ABCD.A' B'C' D' là:
A.
\(9a^3\sqrt{3}\)
B.
\(27a^3\)
C. 3a3
D.
\(a^3\)
Câu 46: Giả sử M là điểm trên đồ thị hàm số
\(y\ =\ x^3+3x^2-x-1\) mà tiếp tuyến tại M có hệ số góc
nhỏ nhất khi đó tọa độ M là:
A. (0; 1)
B. (-1;2)
C. (1;2)
D. (-2;5)
Câu 47: Đồ thị sau đây là của hàm số nào? Chọn 1 câu đúng.

A.
\(y=\frac{x-1}{x+1}\)
B.
\(y\ =\ \frac{x+3}{1-x}\)
C.
\(y=\ \frac{2x+1}{x+1}\)
D.
\(y=\ \frac{x+2}{x+1}\)
Câu 48: Cho lăng trụ tam giác ABC.A' B' C' có đáy là tam giác vuông cân tại A , AA' = a
\(\sqrt{3}\). Hình chiếu vuông góc của A' lên (ABC) là trung điểm cạnh AC. Biết góc giữa AA' và mặt phẳng ( ABC ) bằng 45o. Thể tích của khối lăng trụ ABC.A' B' C ' là:
A.
\(a^3\sqrt{6}\)
B.
\(\frac{a^3\sqrt{3}}{4}\)
C.
\(\frac{3a^3\sqrt{6}}{2}\)
D.
\(\frac{a^3\sqrt{6}}{3}\)
Câu 49: Cho hình chóp S .ABC có các cạnh SA,SB,SC đôi một vuông góc với nhau và SA = a,SB = 2a,SC = 3a . Khoảng cách từ điểm S đến mặt phẳng ( ABC ) là:
A.
\(\frac{5a}{6}\)
B.
\(\frac{6a}{7}\)
C.
\(\frac{7a}{6}\)
D.
\(\frac{6a}{5}\)
Câu 50: Một tấm bìa cứng hình chữ nhật có kích thướng 3m x 8m. Người ta cắt mỗi góc của tấm bìa một hình vuông có cạnh là x để tạo ra hình hộp chữ nhật không nắp. Với giá trị nào của x thì thể tích hình hộp chữ nhật đạt giá trị lớn nhất?
Hình vẽ:
A. x =1m
B.
\(x\ =\ \frac{2}{3}m\)
C.
\(x=\ \frac{1}{3}m\)
D.
\(x\ =\ \frac{4}{3}m\)
Đáp án đề khảo sát chất lượng môn Toán 12
|
1. A |
2. D |
3. A |
4. C |
5. A |
6. A |
7. A |
8. D |
9. B |
10. C |
|
11. C |
12. C |
13. D |
14. D |
15. C |
16. B |
17. D |
18. A |
19. A |
20. B |
|
21. A |
22. C |
23. C |
24. B |
25. C |
26. B |
27. A |
28. D |
29. A |
30. D |
|
31. B |
32. C |
33. C |
34. D |
35. C |
36. D |
37. D |
38. B |
39. A |
40. A |
|
41. D |
42. B |
43. D |
44. C |
45. B |
46. B |
47. C |
48. C |
49. B |
50. B |
Đáp án chi tiết đề khảo sát chất lượng môn Toán 12
Câu 1: Hệ số góc của tiếp tuyến của đồ thị hàm số
\(y\ =\ \frac{3x-1}{1-2x}\) tại điểm của hoành độ x -1 là:
A. 1
B. 5
C. -1
D. -5
Hướng dẫn

Câu 2: Tọa độ giao điểm của đồ thị hàm số và đường thẳng
\(y\ =\ \frac{x+2}{x-1}\) và đường thẳng y = 2x là:
A. (2;-4), (2;3)
B.
\(\left(\frac{1}{2};\ 1\right)\)
C.
\(\left(2;\ 4\right),\ \left(-\frac{1}{2};\ 1\right)\)
D.
\(\left(2;\ 4\right),\ \left(-\frac{1}{2};-1\right)\)
















