Đề thi giữa học kì 2 môn Toán lớp 8 trường THCS Thụy Hương, Hải Phòng năm học 2016 - 2017
Đề thi giữa học kì 2 môn Toán lớp 8
Đề thi giữa học kì 2 môn Toán lớp 8 trường THCS Thụy Hương, Hải Phòng năm học 2016 - 2017. Đề thi gồm có 6 câu hỏi tự luận với thời gian làm bài là 45 phút. Phần đáp án cùng thang điểm chi tiết đã được thư viện đề thi VnDoc cập nhật đầy đủ và chính xác để các em học sinh có thể đối chiếu kết quả bài làm.
Bộ đề thi giữa học kì 2 môn Toán lớp 8
Đề thi giữa học kì 2 môn Toán lớp 8 trường THCS Thống Nhất, thành phố Huế năm học 2016 - 2017
| UBND HUYỆN KIẾN THỤY TRƯỜNG THCS THỤY HƯƠNG |
ĐỀ THI GIỮA HỌC KÌ 2 NĂM HỌC 2016 - 2017 MÔN: TOÁN LỚP 8 Thời gian làm bài: 45 phút |
Câu 1 (1,5 điểm): Pt nào sau đây là pt bậc nhất một ẩn, xác định hệ số của pt đó:
a/ 2x2 + 1 = 0 b/ 3x – 1 = 0 c/ (3/x) + 4 = 0 d/ -2x = 0
Câu 2 (3,0 điểm): Giải các pt sau:
a/ 2x - 3 = 12 b/ (x - 2)(x + 3) = 0 c/7 + 2x = 22 – 3x
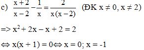
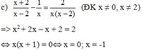
Câu 3 (2,0 điểm): Giải các pt sau:

Câu 4 (1,0 điểm): Lập pt rồi tìm x trong hình vẽ sau:

Câu 5 (2,0 điểm): Một người đi xe đạp từ A đến B, với vận tốc trung bình 15km/h. Lúc về người đó chỉ đi với vận tốc trung bình 12km/h, nên thời gian về nhiều hơn thời gian đi là 45phút. Tính quãng đường AB?
Câu 6 (0,5 điểm): giải pt: (x2 – 6x + 9)2 -15(x2 – 6x + 10) = 1
Đáp án đề thi giữa học kì 2 môn Toán lớp 8
Câu 1
PT bậc nhật một ẩn gồm:
b/ 3x – 1 = 0 => a = 3, b = -1
d/ -2x = 0 => a = -2, b = 0
Câu 2
a/ 2x - 3 = 12 <=> 2x = 12 + 3 <=> 2x = 15
<=> x = 15/2 => S = {15/2}
b/ (x - 2)(x + 3) = 0
<=> x - 2 = 0 x = 2
<=> x + 3 = 0 x = -3
<=> S = {-3; 2}
c/7 + 2x = 22 – 3x
<=> 2x + 3x = 22 -7
<=> 5x = 15
<=> x = 3 => S = {3}
Câu 3


Câu 4
Phương trình là: (x + 3x).2 = 24 <=> x = 3
Câu 5
Gọi x(km) là độ dài quãng đường AB (x > 0)

Câu 6
(x2 – 6x + 9)2 -15(x2 – 6x + 10) = 1
Đặt x2 – 6x + 9 = t ≥ 0 => t2 - 15t - 16 = 0
t1 = -1(loại)
t2 = 16 => x2 – 6x + 9 = 16
x1 = 7; x1 = -1
S = {-1: 7}