Đề thi học kì 1 môn Vật lý lớp 11 trường THPT Lê Hồng Phong, Đăk Lăk năm học 2015 - 2016
Đề thi học kì 1 môn Vật lý lớp 11
Đề thi học kì 1 môn Vật lý lớp 11 trường THPT Lê Hồng Phong, Đăk Lăk năm học 2015 - 2016. Đề thi gồm 15 câu hỏi trắc nghiệm và 3 câu hỏi tự luận với thời gian làm bài là 45 phút. Mời các bạn tham khảo.
Đề thi học kì 1 môn Vật lý lớp 11 trường THPT Đông Du, TP.HCM năm học 2015 - 2016
Đề thi học kì 1 môn Vật lý lớp 11 trường THPT Ngọc Tảo, Hà Nội năm học 2015 - 2016
Đề thi học kì 1 môn Vật lý lớp 11 trường THPT Thuận An, Thừa Thiên Huế năm học 2015 - 2016
| SỞ GD& ĐT ĐĂK LĂK TRƯỜNG THPT LÊ HỒNG PHONG Tổ: Lý - CN |
ĐỀ KIỂM TRA HỌC KÌ I NĂM HỌC 2015 - 2016 Môn: Vật Lý - Lớp 11 Thời gian làm bài 45 phút |
A. Phần trắc nghiệm (6,0 điểm)
Hãy chọn đáp án đúng và khoanh tròn vào đáp án tương ứng của mỗi câu (mỗi câu chỉ được một đáp án đúng)
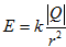
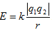
Câu 1. Công thức xác định độ lớn cường độ điện trường gây bởi điện tích điểm Q tại một điểm M cách điện tích điểm một khoảng trong chân không là:
A.
B. E = k.q1.q2.r C.
D. ![]()
Câu 2. Hai điện tích q1, q2 đặt lần lượt tại hai điểm A và B trong không khí. Điện tích q0 đặt tại điểm M nằm trên đoạn thẳng AB và gần B hơn. Biết q0 cân bằng.
A. q1q2 > 0;
<
B. q1q2 > 0;
= ![]()
C. q1q2 < 0;
<
D. q1q2 > 0;
< ![]()
Câu 3. Nhiệt lượng toả ra trên vật dẫn khi có dòng điện chạy qua
A. Tỉ lệ thuận với cường độ dòng điện chạy qua vật dẫn.
B. Tỉ lệ nghịch với bình phương cường độ dòng điện chạy qua vật dẫn
C. Tỉ lệ thuận với bình phương cường độ dòng điện chạy qua vật dẫn.
D. Tỉ lệ nghịch với cường độ dòng điện chạy qua vật dẫn.
Câu 4. Khi xảy ra hiện tượng siêu dẫn thì nhiệt lượng tỏa ra trên vật dẫn đó lúc có dòng điện chạy qua
A. Tỉ lệ thuận với hiệu điện thế hai đầu vật.
B. Tỉ lệ thuận với cường độ dòng điện qua vật.
C. Bằng 0.
D. Tỉ lệ thuận với bình phương cường độ dòng điện qua vật.
Câu 5. Cường độ dòng điện điện không đổi chạy qua dây tóc của một bóng đèn là I = 0,273 A. Tính số electron dịch chuyển qua tiết diện thẳng của dây tóc trong một phút.
A. 1,024.1018. B. 1,024.1020 C. 1,024.1019. D. 1,024.1021.
Câu 6. Tính hiệu suất của 1 bếp điện nếu sau thời gian t = 20 phút nó đun sôi được 2 lít nước ban đầu ở 200 C. Biết rằng cường độ dòng điện chạy qua bếp là I = 3 A, hiệu điện thế của bếp là U = 220 V. Cho nhiệt dung riêng của nước c = 4200 J/kg.K
A. H = 65 % B. H = 75 % C. H = 95 % D. H = 85 %
Câu 7. Điều nào sai khi nói về đường sức của điện trường tĩnh:
A. Là đường cong không kín
B. Có chiều từ điện tích âm sang điện tích dương
C. Các đường sức không cắt nhau
D. Đường sức mau ở chỗ có điện trường mạnh.
Câu 8. Suất điện động của nguồn điện đặc trưng cho
A. Khả năng tích điện cho hai cực của nó.
B. Khả năng dự trữ điện tích của nguồn điện.
C. Khả năng tác dụng lực điện của nguồn điện.
D. Khả năng thực hiện công của lực lạ bên trong nguồn điện.
Câu 9. Một điện tích q = 0,5 (μC) di chuyển từ điểm A đến điểm B trong điện trường, nó thu được một năng lượng W = 0,2 (mJ). Hiệu điện thế giữa hai điểm A, B là:
A. U = 400 (kV). B. U = 400 (V).
C. U = 0,40 (mV) D. U = 0,40 (V).
Câu 10. Cho mạch điện như hình vẽ: Trong đó nguồn điện suất điện động ξ = 6 (V), r = 1,5 (Ω), Đ: 3 V - 3 W. Điều chỉnh R để đèn sáng bình thường. Giá trị của R là:

A. 1,5 (Ω) B. 0,75 (Ω) C. 0,5 (Ω) D. 0,3 (Ω)
Câu 11. Phát biểu nào sau đây là không đúng? Theo thuyết êlectron, một vật nhiễm điện
A. Dương là vật đã nhận thêm các ion dương.
B. Âm là vật đã nhận thêm êlectron.
C. Dương là vật thiếu êlectron.
D. Âm là vật thừa êlectron.
Câu 12. Hiện tượng hồ quang điện được ứng dụng
A. Trong kĩ thuật hàn điện. B. Trong kĩ thuật mạ điện.
C. Trong kĩ thuật đúc điện. D. Trong ống phóng điện tử.
Câu 13. Một mối hàn của một cặp nhiệt điện có hệ số T = 40 (µV/K) được đặt trong không khí ở 200 C, còn mối hàn kia được nung nóng đến nhiệt độ 2320 C. Suất điện động nhiệt điện của cặp nhiệt điện khi đó là
A. 10,08 mV. B. 8,48 mV. C. 8 mV. D. 9,28 mV.
Câu 14. Điện phân dung dịch CuSO4 trong 16 phút 5 giây thu được 0,48 g Cu. Hỏi cường độ dòng điện qua bình bằng bao nhiêu?
A. 2 A B. 1,5 A C. 2,5 A D. 3 A
Câu 15. Một ắc quy có suất điện động ξ = 2 V. Khi mắc ắcquy này với một vật dẫn để tạo thành mạch điện kín thì nó thực hiện một công bằng 3,15.103 J để đưa điện tích qua nguồn trong 15 phút. Khi đó cường độ dòng điện trong mạch là
A. 1,75 A. B. 1,5 A. C. 1,25 A. D. 1,05 A
B. Phần tự luận (4,0 điểm)
Câu 1 (1,5 điểm). Nêu bản chất của dòng điện trong chất điện phân. Phát biểu định luật Fa - ra - đây thứ hai, viết công thức Fa - ra - đây.
Câu 2 (1,5 điểm). Cho mạch điện như hình vẽ: Bộ nguồn có suất điện động và điện trở trong lần lượt là E = 9 V, r = 1 Ω, điện trở R1 = 5 Ω, một bóng đèn ghi (3 V - 3 W) và một bình điện phân chứa dung dịch CuSO4 với anốt bằng Cu có điện trở RP = 8 Ω. Cho A = 64 g/mol và n = 2

a/ Tính cường độ dòng điện qua bóng đèn.
b/ Tính khối lượng đồng bám vào catot sau 1h 30 phút.
Câu 3 (1,0 điểm). Một tụ xoay có điện dung thay đổi được theo quy luật hàm số bậc nhất của góc xoay của bản linh động. Khi α = 00 thì điện dung của tụ điện là 10 µF. Khi α =1800 thì điện dung của tụ điện là 250 µF. Khi α = 450 thì điện dung của tụ điện bằng bao nhiêu?
ĐÁP ÁN ĐỀ THI HỌC KÌ 1 MÔN VẬT LÝ LỚP 11
A. Trắc nghiệm
|
Câu |
1 |
2 |
3 |
4 |
5 |
6 |
7 |
8 |
9 |
10 |
11 |
12 |
13 |
14 |
15 |
|
Đáp án |
D |
A |
C |
C |
B |
D |
B |
D |
B |
A |
A |
A |
B |
B |
A |
B. Tự luận
Câu 1
- Bản chất dòng điện trong chất điện phân là dòng ion dương và dòng ion âm chuyển động có hướng theo hai chiều ngược nhau.
- Định luật Fa - ra - đây thứ hai: Đương lượng điện hóa k của một nguyên tố tỉ lệ với đương lượng hoá học A/n của nguyên tố đó. Hệ số tỉ lệ là 1/F, trong đó F gọi là số Fa - ra - đây. k = 1/F . A/n với F = 96500 C/mol
- Từ hai định luật Fa - ra - đây, ta có công thức Fa - ra - đây: m = 1/F . A/n . It
Câu 2
- Mạch ngoài gồm (R1ntRd) // Rp
- Điện trở bóng đèn Rd = U2dm/Pdm = 32/3 = 3 Ω
- Điện trở mạch ngoài:

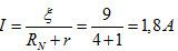
- Cường độ dòng điện mạch chính:

- Vì R1 + Rd = Rp nên cường độ dòng điện qua bóng đèn là Id = Ip = I/2 = 0,9 A
- Khối lượng đồng bám vào catot sau 1h 30 phút là
![]()
Câu 3
- Điện dung của tụ xoay được tính theo công thức C = aα + b
- Khi α = 00 thì 10 = 0 x α + b → b = 10µF
- Khi α = 1800 thì 250 = 180 x α + 10 → a = ¾ µF độ
- Do đó C = 4/3 x α + 10 (µF) (1)
- Thay α = 450 vào (1) ta được C = 70 µF