Đề thi học kì 2 môn Toán lớp 4 năm học 2018 - 2019
Đề thi học kì 2 môn Toán lớp 4 năm học 2018 - 2019 có đáp án chi tiết cho từng dạng bài tập giúp các em học sinh ôn tập, củng cố kiến thức, chuẩn bị cho bài thi cuối học kì 2 đạt kết quả cao. Mời các em học sinh tham khảo chi tiết.
Đề thi học kì 2 môn Toán lớp 4
Đề bài: Đề thi học kì 2 môn Toán lớp 4
Câu 1: ( 1đ) Nối các phân bằng nhau với nhau:

Câu 2: (1đ) Số thích hợp viết vào chỗ chấm để 57m2 3cm2 = ………cm2 là:
a/ 5730
b/ 573
c/ 570003
d/ 5703
Câu 3: (1đ) Đúng ghi Đ, sai ghi S vào ô trống:
Hình bình hành ABCD (hình bên) có:

a/ AB vuông góc với DC
b/ AH vuông góc với DC
c/ Chu vi hình bình hành ABCD là 18 cm
d/ Diện tích hình bình hành ABCD là 18 cm2
Câu 4: (1đ) Mẹ hơn con 32 tuổi. Biết tuổi con bằng
\(\frac{1}{5}\)tuổi mẹ. Vậy tuổi của con là:
a/ 40 tuổi.
b/ 30 tuổi.
c/ 8 tuổi.
d/ 32 tuổi.
Câu 5: (0,5đ) Kết quả phép cộng
= …… là:
![]()
Câu 6: (0,5đ) Kết quả phép trừ
\(4-\frac{3}{5}\)= …… là:
![]()
Câu 7: (1đ) Điền dấu (> ; < ; =) thích hợp vào chỗ chấm:
a/ 2 giờ 45 phút ……… 245 phút ;

Câu 8: (2đ) Tính:
a/ Đặt tính rồi tính: (1đ)
5487 + 8369
37978 – 5169
b/ Tính: (1đ)
\(4\times\frac{7}{4}\)
\(\frac{6}{11}:\frac{3}{4}\)
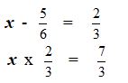
Câu 9: (1đ) Tìm x:

Câu 10: (1đ) Lớp 4A có 34 học sinh. Nếu không tính bạn lớp trưởng thì số học sinh nam gấp đôi số học sinh nữ. Hỏi lớp 4A có bao nhiêu học sinh nam, bao nhiêu học sinh nữ, biết rằng lớp trưởng là nữ.
>> Tham khảo: Đề thi học kì 2 môn Toán lớp 4 năm học 2018 - 2019 theo Thông tư 22
Đáp án: Đề thi học kì 2 môn Toán lớp 4
Câu 1: ( 1đ) Nối các phân bằng nhau với nhau:

Câu 2: (1đ) Số thích hợp viết vào chỗ chấm để 57m2 3cm2 = ………cm2 là: Chọn c
Câu 3: (1đ) Đúng ghi Đ, sai ghi S vào ô trống:
Hình bình hành ABCD (hình bên) có:
a/ AB vuông góc với DC: S
b/ AH vuông góc với DC: Đ
c/ Chu vi hình bình hành ABCD là 18 cm: S
d/ Diện tích hình bình hành ABCD là 18 cm2 Đ
Câu 4: (1đ) Mẹ hơn con 32 tuổi. Biết tuổi con bằng
\(\frac{1}{5}\)tuổi mẹ. Vậy tuổi của con là: Chọn c
Câu 5: (0,5đ) Kết quả phép cộng
= …… là : Chọn d
Câu 6: (0,5đ) Kết quả phép trừ
\(4-\frac{3}{5}\)= …… là: Chọn b
Câu 7: (1đ) Điền dấu (> ; < ; =) thích hợp vào chỗ chấm:
a/ 2 giờ 45 phút < 245 phút

a/ Đặt tính rồi tính: (1đ)
5487 + 8369 = 13856
37978 – 5169 = 32809
b/ Tính: (1đ)

Câu 9: (1đ) Tìm x:

Câu 10: (1đ) Lớp 4A có 34 học sinh. Nếu không tính bạn lớp trưởng thì số học sinh nam gấp đôi số học sinh nữ. Hỏi lớp 4A có bao nhiêu học sinh nam, bao nhiêu học sinh nữ, biết rằng lớp trưởng là nữ.
Giải: Nếu không tính lớp trưởng thì có số bạn là: 34 – 1 = 33 (bạn) (0,25đ)
Theo bài toán cho, ta có sơ đồ:

Theo sơ đồ, tổng số phần bằng nhau là: 1 + 2 = 3 (phần)(0,25đ)
Lớp 4A có số bạn nam là: 33 : 3 x 2 = 22 (bạn).(0,25đ)
Lớp 4A có số bạn nữ là: 34 - 22 = 12 (bạn).(0,25đ)
Đáp số : Nam: 22 bạn ; Nữ: 12 bạn.
Đề cương, đề ôn tập học kì 2 lớp 4 môn Toán
Đề ôn tập học kì 2 môn Toán lớp 4 - Đề 1
Đề ôn tập học kì 2 môn Toán lớp 4 - Đề 2
Đề ôn tập học kì 2 môn Toán lớp 4 - Đề 3
Đề ôn tập học kì 2 môn Toán lớp 4 - Đề 4
Đề ôn tập học kì 2 môn Toán lớp 4 - Đề 5
Đề ôn tập học kì 2 môn Toán lớp 4 - Đề 6
Đề ôn tập học kì 2 môn Toán lớp 4 - Đề 7
Ngoài ra các em học sinh hoặc quý phụ huynh còn có thể tham khảo thêm đề thi học kì 2 lớp 4 các môn Toán, Tiếng Việt, Tiếng Anh, Sử Địa, Khoa học theo chuẩn thông tư 22 của bộ Giáo Dục và các dạng bài ôn tập môn Tiếng Việt 4, và môn Toán 4. Những đề thi này được VnDoc.com sưu tầm và chọn lọc từ các trường tiểu học trên cả nước nhằm mang lại cho học sinh lớp 4 những đề ôn thi học kì 2 chất lượng nhất. Mời các em cùng quý phụ huynh tải miễn phí đề thi về và ôn luyện