Đề ôn tập học kì 2 môn Toán lớp 4 - Đề 6
Đề ôn tập học kì 2 môn Toán lớp 4 - Đề 6 được VnDoc sưu tầm, chọn lọc các dạng bài tập trọng tâm cho các em học sinh ôn tập, củng cố kiến thức chuẩn bị cho các bài thi kiểm tra học kì 2 lớp 4. Mời các thầy cô cùng các em học sinh tham khảo chi tiết.
Đề ôn thi học kì 2 môn Toán lớp 4
Đề bài ôn tập học kì 2 môn Toán lớp 4 - Đề 6
Bài 1. Nối hai phân số bằng nhau với nhau:

Bài 2. Viết vào chỗ chấm thích hợp:
Trong hình thoi ABCD có:

a) Cạnh AB song song với cạnh…
b) Cạnh AD song song với cạnh…
c) Cạnh AC vuông góc với cạnh…
d) AB = … = … = …..
Bài 3. tính giá trị của biểu thức sau:

Bài 4. Khoanh vào chữ đặt trước câu trả lời đúng:
a) Lớp nghìn của số 132608742 gồm các chữ số:
A. 1; 3; 2
B. 6; 0; 8
C. 7; 4 ; 2
D. 8; 7; 4
b) Trong các số:7428; 5630; 49590; 17863, số chia hết cho 2; 3; 5; 9 là:
A. 7428
B. 5630
C. 49590
D. 17863

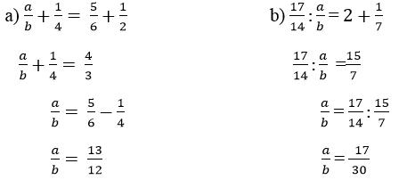
Bài 5. Tìm a/b biết:

Bài 6. Kho A hơn kho B là 4 tấn 4 tạ thóc. Tìm số thóc mỗi kho, biết rằng số thóc kho B bằng 9/20 số thóc kho A.
Đáp án Đề kiểm tra học kì 2 môn Toán lớp 4
Bài 1:

Bài 2.
a) Cạnh AB song song với cạnh DC
b) Cạnh AD song song với cạnh BC
c) Cạnh AC vuông góc với cạnh BD
d) AB = BC = CD = DA
Bài 3.

Bài 4.
a) B
b) C
c) D
d) A
Bài 5.

Bài 6.
Đổi 4 tấn 4 tạ = 44 tạ
Hiệu số phần bằng nhau là: 20 – 9 = 11
Số thóc kho B có là: 44 : 11 x 9= 36 (tạ)
Số thóc kho A có là: 36 + 44 = 80 (tạ)
Ngoài Đề ôn tập học kì 2 môn Toán lớp 4 - Đề 6 trên, các bạn luyện giải bài tập SGK Tiếng Việt 4 hay SGK môn Toán lớp 4 được VnDoc sưu tầm, chọn lọc. Đồng thời các dạng đề thi học kì 1 lớp 4, đề thi học kì 2 theo Thông tư 22 mới nhất được cập nhật. Mời các em học sinh, các thầy cô cùng các bậc phụ huynh tham khảo đề thi, bài tập mới nhất.