Giao diện mới của VnDoc Pro: Dễ sử dụng hơn - chỉ tập trung vào lớp bạn quan tâm. Vui lòng chọn lớp mà bạn quan tâm: Lưu và trải nghiệm
Đóng
Điểm danh hàng ngày
  • Hôm nay +3
  • Ngày 2 +3
  • Ngày 3 +3
  • Ngày 4 +3
  • Ngày 5 +3
  • Ngày 6 +3
  • Ngày 7 +5
Bạn đã điểm danh Hôm nay và nhận 3 điểm!
Nhắn tin Zalo VNDOC để nhận tư vấn mua gói Thành viên hoặc tải tài liệu Hotline hỗ trợ: 0936 120 169

Đề thi học sinh giỏi lớp 12 THPT tỉnh Bắc Giang năm 2013 - 2014

Lớp: Lớp 12
Dạng tài liệu: Đề thi HSG
Loại File: Word
Phân loại: Tài liệu Tính phí

Vndoc.com xin gửi đến các bạn: Đề thi học sinh giỏi lớp 12 THPT tỉnh Bắc Giang năm 2013 - 2014.

Đề thi học sinh giỏi môn Toán:

SỞ GIÁO DỤC VÀ ĐÀO TẠO
BẮC GIANG


ĐỀ CHÍNH THỨC

ĐỀ THI CHỌN HỌC SINH GIỎI LỚP 12
NĂM HỌC: 2013 - 2014

MÔN THI: TOÁN
(Thời gian làm bài 180 phút, không kể thời gian giao đề)


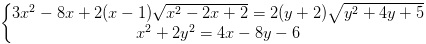
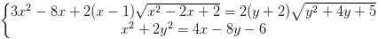
Câu 1
(4 điểm)

Giải hệ phương trình:
Đề thi học sinh giỏi lớp 12 THPT tỉnh Bắc Giang năm 2013 - 2014

Câu 2 (4 điểm)

Cho ba số dương a,b,c thỏa mãn ab + bc + ca = 3. Chứng minh rằng:
Đề thi học sinh giỏi lớp 12 THPT tỉnh Bắc Giang năm 2013 - 2014

Câu 3 (4 điểm)

Cho tam giác ABC có góc ABC < góc BAC. Trên đường thẳng BC lấy điểm D thỏa mãn góc CAD = góc ABC. Đường tròn (O) bất kì đi qua B, D cắt AB, AD lần lượt tại M, N. Kẻ hai tiếp tuyến AP, AQ với (O), P, Q thuộc (O). Gọi G là giao điểm của BN và DM, gọi I là trung điểm của AG.

a. Chứng minh rằng: P,Q,G thẳng hàng.

b. Chứng minh rằng: CI vuông góc với AG.

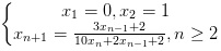
Câu 4 (4 điểm)

Cho dãy số (xn) thỏa mãn:
Đề thi học sinh giỏi lớp 12 THPT tỉnh Bắc Giang năm 2013 - 2014

Chứng minh rằng dãy (xn) có giới hạn và tìm limxn

Câu 5 (4 điểm)

Tìm cặp các số nguyên (a,b) sao cho là một số nguyên.

Chọn file muốn tải về:
Đóng Chỉ thành viên VnDoc PRO/PROPLUS tải được nội dung này!
Đóng
79.000 / tháng
Đặc quyền các gói Thành viên
PRO
Phổ biến nhất
PRO+
Tải tài liệu Cao cấp 1 Lớp
30 lượt tải tài liệu
Xem nội dung bài viết
Trải nghiệm Không quảng cáo
Làm bài trắc nghiệm không giới hạn
Mua cả năm Tiết kiệm tới 48%
1

Có thể bạn quan tâm

Xác thực tài khoản!

Theo Nghị định 147/2024/ND-CP, bạn cần xác thực tài khoản trước khi sử dụng tính năng này. Chúng tôi sẽ gửi mã xác thực qua SMS hoặc Zalo tới số điện thoại mà bạn nhập dưới đây:

Số điện thoại chưa đúng định dạng!
Số điện thoại này đã được xác thực!
Bạn có thể dùng Sđt này đăng nhập tại đây!
Lỗi gửi SMS, liên hệ Admin
Sắp xếp theo
🖼️

Thi học sinh giỏi lớp 12

Xem thêm
🖼️

Gợi ý cho bạn

Xem thêm