Giao diện mới của VnDoc Pro: Dễ sử dụng hơn - chỉ tập trung vào lớp bạn quan tâm. Vui lòng chọn lớp mà bạn quan tâm: Lưu và trải nghiệm
Đóng
Điểm danh hàng ngày
  • Hôm nay +3
  • Ngày 2 +3
  • Ngày 3 +3
  • Ngày 4 +3
  • Ngày 5 +3
  • Ngày 6 +3
  • Ngày 7 +5
Bạn đã điểm danh Hôm nay và nhận 3 điểm!
Nhắn tin Zalo VNDOC để nhận tư vấn mua gói Thành viên hoặc tải tài liệu Hotline hỗ trợ: 0936 120 169

Đề thi học sinh giỏi lớp 12 THPT tỉnh Quảng Bình năm 2013 - 2014

Lớp: Lớp 12
Dạng tài liệu: Đề thi HSG
Loại File: Word
Phân loại: Tài liệu Tính phí

Vndoc.com xin giới thiệu đến bạn: Đề thi học sinh giỏi lớp 12 THPT tỉnh Quảng Bình năm 2013 - 2014.

Đề thi học sinh giỏi môn Toán:

SỞ GIÁO DỤC VÀ ĐÀO TẠO
QUẢNG BÌNH


ĐỀ CHÍNH THỨC

KỲ THI CHỌN HỌC SINH GIỎI LỚP 12
NĂM HỌC: 2013 - 2014

MÔN THI: TOÁN
(Thời gian làm bài 180 phút, không kể thời gian giao đề)


Câu 1 (4.0 điểm)

Giải phương trình:
Đề thi học sinh giỏi lớp 12 THPT tỉnh Quảng Bình năm 2013 - 2014

Câu 2 (4.0 điểm)

Cho a là số thực dương tùy ý. Xét dãy số (xn) được xác định như sau: Đề thi học sinh giỏi lớp 12 THPT tỉnh Quảng Bình năm 2013 - 2014 (tử số có n dấu căn)

Tính giới hạn của dãy số (xn).

Câu 3 (4.0 điểm)

Tìm các hàm số f: R → R thỏa mãn:
Đề thi học sinh giỏi lớp 12 THPT tỉnh Quảng Bình năm 2013 - 2014

Câu 4 (4.0 điểm)

Cho tam giác ABC và M, N là hai điểm di động trên đường thẳng BC sao cho . Đường thẳng d1 đi qua và vuông góc với AC, đường thẳng d2 đi qua và vuông góc với AB. Gọi K là giao điểm của d1 và d2. Chứng minh rằng trung điểm I của đoạn AK luôn nằm trên một đường thẳng cố định.

Câu 5 (4.0 điểm)

Chứng minh rằng trong 39 số tự nhiên liên tiếp bất kỳ luôn có ít nhất một số có tổng các chữ số chia hết cho 11.

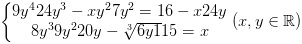
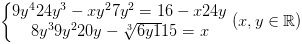
Câu 6 (5,0 điểm).

Giải hệ phương trình:
Đề thi học sinh giỏi lớp 12 THPT tỉnh Quảng Bình năm 2013 - 2014

Câu 7 (5,0 điểm).

Cho các số thực dương x, y, z thỏa mãn: xyz = 8. Tìm giá trị nhỏ nhất của:
Đề thi học sinh giỏi lớp 12 THPT tỉnh Quảng Bình năm 2013 - 2014

Câu 8 (5,0 điểm).

Cho hai đường tròn (I) và (J) cắt nhau tại A và B sao cho IA vuông góc JA. Đường thẳng IJ cắt hai đường tròn tại C, E, D, F sao cho các điểm C, I, E, D, J, F nằm trên đường thẳng theo thứ tự đó. BE cắt đường tròn (I) tại điểm thứ hai K và cắt AC tại M. BD cắt đường tròn (J) tại điểm thứ hai L và AF tại N.

a) Chứng minh rằng: MN vuông góc AB.

b) Chứng minh rằng: KE.LN.ID = JE.KM.LD.

Câu 9 (5,0 điểm).

Cho các số nguyên dương n, k, p với k ≥ 2 và k(p1) ≤ n. Cho n điểm phân biệt cùng nằm trên một đường thẳng. Tô n điểm đó bằng hai màu xanh, đỏ (mỗi điểm chỉ tô đúng một màu). Tìm số cách tô màu khác nhau, sao cho các điều kiện sau đồng thời được thỏa mãn:

1) Có đúng k điểm được tô bởi màu xanh.

2) Giữa hai điểm màu xanh liên tiếp (tính từ trái qua phải) có ít nhất p điểm được tô màu đỏ.

3) Ở bên phải điểm tô màu xanh cuối cùng có ít nhất p điểm được tô màu đỏ.

(Hai cách tô màu được gọi là khác nhau nếu có ít nhất một điểm được tô màu khác nhau trong hai cách đó).

Chọn file muốn tải về:
Đóng Chỉ thành viên VnDoc PRO/PROPLUS tải được nội dung này!
Đóng
79.000 / tháng
Đặc quyền các gói Thành viên
PRO
Phổ biến nhất
PRO+
Tải tài liệu Cao cấp 1 Lớp
30 lượt tải tài liệu
Xem nội dung bài viết
Trải nghiệm Không quảng cáo
Làm bài trắc nghiệm không giới hạn
Mua cả năm Tiết kiệm tới 48%
1

Có thể bạn quan tâm

Xác thực tài khoản!

Theo Nghị định 147/2024/ND-CP, bạn cần xác thực tài khoản trước khi sử dụng tính năng này. Chúng tôi sẽ gửi mã xác thực qua SMS hoặc Zalo tới số điện thoại mà bạn nhập dưới đây:

Số điện thoại chưa đúng định dạng!
Số điện thoại này đã được xác thực!
Bạn có thể dùng Sđt này đăng nhập tại đây!
Lỗi gửi SMS, liên hệ Admin
Sắp xếp theo
🖼️

Thi học sinh giỏi lớp 12

Xem thêm
🖼️

Gợi ý cho bạn

Xem thêm