Đề thi học sinh giỏi lớp 12 THPT tỉnh Lâm Đồng năm 2013 - 2014
Nhằm giúp các bạn chuẩn bị thật tốt kiến thức để làm bài thi đạt hiệu quả cao, Vndoc.com xin giới thiệu: Đề thi học sinh giỏi lớp 12 THPT tỉnh Lâm Đồng năm 2013 - 2014.
Đề thi học sinh giỏi môn Toán:
SỞ GIÁO DỤC VÀ ĐÀO TẠO
|
KỲ THI CHỌN HỌC SINH GIỎI LỚP 12
|
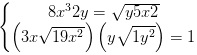
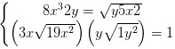
Bài 1:
Giải hệ phương trình:
Bài 2:
Cho a, b, c là 3 số thực dương thỏa abc = 1. Tìm giá trị nhỏ nhất của biểu thức:
![]()
Bài 3:
1) Cho hai đường tròn (O1) và (O2) lần lượt có bán kính là R1, R2 (R1 < R2) tiếp xúc trong tại A. Gọi M là điểm di động trên (O1) (M khác A), tiếp tuyến của (O1) tại M cắt (O2) tại B và C. Gọi M’ (M’ khác A) là giao điểm của AM với (O2)
a) Chứng minh AM’ là đường phân giác của góc ABC.
b) Tìm quỹ tích tâm I của đường tròn nội tiếp tam giác ABC.
2) Cho đường tròn (C) có tâm I và đường kính AB, trên đoạn IB lấy điểm C (C khác I và B). Đường thẳng (d) vuông góc với AB tại C và H là điểm thay đổi trên (d). Đường thẳng AH cắt đường tròn (C) tại điểm D và đường tròn BH cắt đường tròn (C) tại E. Chứng minh đường thẳng DE luôn đi qua điểm cố định.
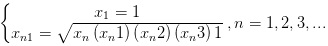
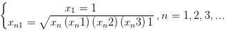
Bài 4: Cho dãy số (xn), n = 1, 2, 3,.. xác định bởi
![]()
a) Chứng minh: ![]()
b) Tìm: ![]()
Bài 5: Tìm tất cả hàm số liên tục f: R → R sao cho: f(x)f(x4) = 4026xx4