Giao diện mới của VnDoc Pro: Dễ sử dụng hơn - chỉ tập trung vào lớp bạn quan tâm. Vui lòng chọn lớp mà bạn quan tâm: Lưu và trải nghiệm
Đóng
Điểm danh hàng ngày
  • Hôm nay +3
  • Ngày 2 +3
  • Ngày 3 +3
  • Ngày 4 +3
  • Ngày 5 +3
  • Ngày 6 +3
  • Ngày 7 +5
Bạn đã điểm danh Hôm nay và nhận 3 điểm!
Nhắn tin Zalo VNDOC để nhận tư vấn mua gói Thành viên hoặc tải tài liệu Hotline hỗ trợ: 0936 120 169

Đề thi học sinh giỏi lớp 12 THPT TP Cần Thơ năm 2013 - 2014

Lớp: Lớp 12
Dạng tài liệu: Đề thi HSG
Loại File: Word
Phân loại: Tài liệu Tính phí

Nhằm giúp các bạn chuẩn bị thật tốt kiến thức để làm bài thi đạt hiệu quả cao, Vndoc.com xin giới thiệu: Đề thi học sinh giỏi lớp 12 THPT TP Cần Thơ năm 2013 - 2014.

Đề thi học sinh giỏi môn Toán:

SỞ GIÁO DỤC VÀ ĐÀO TẠO
TP. CẦN THƠ


ĐỀ CHÍNH THỨC

ĐỀ THI CHỌN HỌC SINH GIỎI LỚP 12
NĂM HỌC: 2013 - 2014

MÔN THI: TOÁN
(Thời gian làm bài 180 phút, không kể thời gian giao đề)


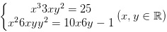
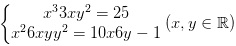
Câu 1:

Giải hệ phương trình sau:
Đề thi học sinh giỏi lớp 12 THPT TP Cần Thơ năm 2013 - 2014

Câu 2:

Cho tam giác ABC có ba góc đều nhọn, AB < AC, AH là đường cao và AD là đường phân giác trong. Gọi E, F lần lượt là hình chiếu vuông góc của D trêm các cạnh AC và AB, M là giao điểm của BE và CF.

1. Chứng minh ba điểm A, M, H thẳng hàng.

2. Gọi K là giao điểm của EF và BC. Chứng minh:

3. Gọi N là giao điểm của BC với đường kính qua A của đường tròn ngoại tiếp tam giác ABC. Chứng minh:

Câu 3:

Cho a, b, c là ba số nguyên khác không và thỏa mãn a2bb2cc3a = 3abc (1)

1. Hãy chỉ ra một bộ số nguyên a, b, c đôi một khác nhau thỏa (1)

2. Chứng minh abc là lập phương của một số nguyên.

Câu 4:

Cho các đa thức P(x), Q(x) với hệ số thức thỏa mãn điều kiện P(x) = Q(x)Q(1 - x), với mọi x thuộc R. Biết P(0) = 0 và các hệ số của P(x) đều không âm. Tính P(P(2013)).

Câu 5:

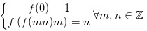
Tìm tất cả các hàm số f: Z → Z thỏa mãn các điều kiện:
Đề thi học sinh giỏi lớp 12 THPT TP Cần Thơ năm 2013 - 2014

Câu 6:

Một bảng ô vuông không giới hạn số dòng, số cột và trên đó mới chỉ ghi hai số 1 và 3 vào hai ô khác nhau. Ta thực hiện trò chơi viết thêm số vào các ô vuông như sau: nếu trên bảng có hai số tự nhiên a và b thì được phép viết thêm số c = a + b + ab vào ô vuông còn trống trên bảng. Hỏi bằng cách đó trên bảng có thể xuất hiện được các số 2509 và 20132014 hay không? Giải thích tại sao?

Chọn file muốn tải về:
Đóng Chỉ thành viên VnDoc PRO/PROPLUS tải được nội dung này!
Đóng
79.000 / tháng
Đặc quyền các gói Thành viên
PRO
Phổ biến nhất
PRO+
Tải tài liệu Cao cấp 1 Lớp
30 lượt tải tài liệu
Xem nội dung bài viết
Trải nghiệm Không quảng cáo
Làm bài trắc nghiệm không giới hạn
Mua cả năm Tiết kiệm tới 48%
1

Có thể bạn quan tâm

Xác thực tài khoản!

Theo Nghị định 147/2024/ND-CP, bạn cần xác thực tài khoản trước khi sử dụng tính năng này. Chúng tôi sẽ gửi mã xác thực qua SMS hoặc Zalo tới số điện thoại mà bạn nhập dưới đây:

Số điện thoại chưa đúng định dạng!
Số điện thoại này đã được xác thực!
Bạn có thể dùng Sđt này đăng nhập tại đây!
Lỗi gửi SMS, liên hệ Admin
Sắp xếp theo
🖼️

Thi học sinh giỏi lớp 12

Xem thêm
🖼️

Gợi ý cho bạn

Xem thêm