Giao diện mới của VnDoc Pro: Dễ sử dụng hơn - chỉ tập trung vào lớp bạn quan tâm. Vui lòng chọn lớp mà bạn quan tâm: Lưu và trải nghiệm
Đóng
Điểm danh hàng ngày
  • Hôm nay +3
  • Ngày 2 +3
  • Ngày 3 +3
  • Ngày 4 +3
  • Ngày 5 +3
  • Ngày 6 +3
  • Ngày 7 +5
Bạn đã điểm danh Hôm nay và nhận 3 điểm!
Nhắn tin Zalo VNDOC để nhận tư vấn mua gói Thành viên hoặc tải tài liệu Hotline hỗ trợ: 0936 120 169

Đề thi học sinh giỏi lớp 9 THCS tỉnh Bắc Ninh năm 2012 - 2013

Lớp: Lớp 9
Dạng tài liệu: Đề thi HSG
Loại File: Word
Phân loại: Tài liệu Tính phí

SỞ GIÁO DỤC VÀ ĐÀO TẠO
BẮC NINH


ĐỀ CHÍNH THỨC

ĐỀ THI CHỌN HỌC SINH GIỎI LỚP 9
NĂM HỌC: 2012 - 2013

MÔN THI: TOÁN – LỚP 9 THCS
(Thời gian làm bài 150 phút không kể thời gian giao đề)


Câu 1. (4,0 điểm)

Cho biểu thức: Đề thi học sinh giỏi lớp 9 THCS tỉnh Bắc Ninh năm 2012 - 2013

1. Rút gọn biểu thức P

2. Tìm giá trị nhỏ nhất của biểu thức P

Câu 2. (4,0 điểm)

1. Trong mặt phẳng tọa độ (Oxy), cho parabol (P) có phương trình y = x2 và đường thẳng d có phương trình y = kx + 1 (k là tham số). Tìm k để đường thẳng d cắt parabol (P) tại hai điểm phân biệt M, N sao cho MN = 2√10.

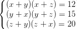
2. Giải hệ phương trình:
Đề thi học sinh giỏi lớp 9 THCS tỉnh Bắc Ninh năm 2012 - 2013 (Với x, y, z là các số thực dương).

Câu 3. (3,0 điểm)

1. Giải phương trình nghiệm nguyên: x4 - 2y4 - x2y2 - 4x2 - 7y2 - 5 = 0.

2. Cho ba số a, b, c thỏa mãn: a + b + c = 1; a2 + b2 + c2 = 1; a3 + b3 + c3 = 1

Chứng minh rằng: a2013 + b2013 + c2013 = 1.

Câu 4. (6,0 điểm)

Cho đường tròn (O; R), đường thẳng d không đi qua O cắt đường tròn tại hai điểm A, B. Từ một điểm M tùy ý trên đường thẳng d và nằm ngoài đường tròn (O), vẽ hai tiếp tuyến MN, MP của đường tròn (O) (N, P là hai tiếp điểm).

1. Dựng điểm M trên đường thẳng d sao cho tứ giác MNOP là hình vuông.

2. Chứng minh rằng tâm của đường tròn đi qua ba điểm M, N, P luôn thuộc đường thẳng cố định khi M di động trên đường thẳng d.

Câu 5. (3,0 điểm)

1. Tìm hai số nguyên dương a và b thỏa mãn a2 + b2 = [a, b] + 7(a, b) (với [a,b] = BCNN(a,b), (a,b) = ƯCLN(a,b)).

2. Cho tam giác ABC thay đổi có AB = 6, AC = 2BC. Tìm giá trị lớn nhất của diện tích tam giác ABC.

Chọn file muốn tải về:
Đóng Chỉ thành viên VnDoc PRO/PROPLUS tải được nội dung này!
Đóng
79.000 / tháng
Đặc quyền các gói Thành viên
PRO
Phổ biến nhất
PRO+
Tải tài liệu Cao cấp 1 Lớp
30 lượt tải tài liệu
Xem nội dung bài viết
Trải nghiệm Không quảng cáo
Làm bài trắc nghiệm không giới hạn
Mua cả năm Tiết kiệm tới 48%

Có thể bạn quan tâm

Xác thực tài khoản!

Theo Nghị định 147/2024/ND-CP, bạn cần xác thực tài khoản trước khi sử dụng tính năng này. Chúng tôi sẽ gửi mã xác thực qua SMS hoặc Zalo tới số điện thoại mà bạn nhập dưới đây:

Số điện thoại chưa đúng định dạng!
Số điện thoại này đã được xác thực!
Bạn có thể dùng Sđt này đăng nhập tại đây!
Lỗi gửi SMS, liên hệ Admin
Sắp xếp theo
🖼️

Thi học sinh giỏi lớp 9

Xem thêm
🖼️

Gợi ý cho bạn

Xem thêm