Đề thi học sinh giỏi lớp 9 THCS tỉnh Hà Nam năm 2011 - 2012 môn Toán
SỞ GIÁO DỤC VÀ ĐÀO TẠO
|
KỲ THI CHỌN HỌC SINH GIỎI CẤP TỈNH LỚP 9 THCS
|
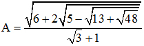
Bài 1. (6 điểm)
1. Cho biểu thức 
a) Rút gọn biểu thức A.
b) Tìm nghiệm nguyên của phương trình: y2 - A = x(A + x)(A + x2)
2. Gọi d1, d2 là các đường thẳng lần lượt có phương trình: d1: y = 2x + 3m + 2 và d2: y = (m2 + m)x - 4
a) Tìm m để hai đường thẳng song song.
b) Tuỳ theo giá trị của m, tìm giá trị nhỏ nhất của biểu thức: B = (2x - y + 3m + 2)2 + [(m2 + m)x - y - 4]2
Bài 2. (6 điểm)
1. Giải phương trình: ![]()
2. Tìm m để phương trình sau có 4 nghiệm phân biệt: x4 + 3x3 - (2m - 1)x2 - (3m + 1)x + m2 + m = 0
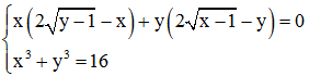
Bài 3. (1 điểm)
Giải hệ phương trình: .jpg)
Bài 4. (6 điểm)
Cho 3 điểm cố định A, B, C phân biệt và thẳng hàng theo thứ tự đó. Đường tròn (O) đi qua B và C (O không thuộc BC). Qua A kẻ các tiếp tuyến AE và AF đến đường tròn (O) (E và F là các tiếp điểm). Gọi I là trung điểm của đoạn thẳng BC, N là trung điểm của đoạn thẳng EF.
1. Chứng minh rằng: E và F nằm trên một đường tròn cố định khi đường tròn (O) thay đổi.
2. Đường thẳng FI cắt đường tròn (O) tại E’ (khác F). Chứng minh tứ giác BCE’E là hình thang.
3. Chứng minh rằng: Tâm đường tròn ngoại tiếp tam giác ONI nằm trên một đường thẳng cố định khi đường tròn (O) thay đổi.
Bài 5. (1 điểm)
Cho tam giác ABC. Xác định vị trí của điểm M nằm trong tam giác ABC sao cho đạt giá trị nhỏ nhất.