Giao diện mới của VnDoc Pro: Dễ sử dụng hơn - chỉ tập trung vào lớp bạn quan tâm. Vui lòng chọn lớp mà bạn quan tâm: Lưu và trải nghiệm
Đóng
Điểm danh hàng ngày
  • Hôm nay +3
  • Ngày 2 +3
  • Ngày 3 +3
  • Ngày 4 +3
  • Ngày 5 +3
  • Ngày 6 +3
  • Ngày 7 +5
Bạn đã điểm danh Hôm nay và nhận 3 điểm!
Nhắn tin Zalo VNDOC để nhận tư vấn mua gói Thành viên hoặc tải tài liệu Hotline hỗ trợ: 0936 120 169

Đề thi học sinh giỏi lớp 9 THCS tỉnh Quảng Bình năm học 2012 - 2013 môn Toán - Có đáp án

Lớp: Lớp 9
Dạng tài liệu: Đề thi HSG
Loại File: Word
Phân loại: Tài liệu Tính phí

SỞ GIÁO DỤC VÀ ĐÀO TẠO
QUẢNG BÌNH
(Đề thi chính thức)

KỲ THI CHỌN HỌC SINH GIỎI TỈNH LỚP 9 THCS
NĂM HỌC 2012-2013
(Khóa ngày 27 tháng 3 năm 2013)

MÔN THI: TOÁN
Thời gian làm bài: 150 phút (không kể thời gian giao đề)
--------------------------------------------------------------------------------

Câu 1: (2.0 điểm)

Cho biểu thức:

a) Rút gọn P.

b) Tìm x để P đạt giá trị nhỏ nhất.

Câu 2: (2.0 điểm)

Cho phương trình: x2 - 2mx + m - 4 = 0

a) Tìm m để phương trình có hai nghiệm phân biệt x1, x2 thỏa mãn x13 + x23 = 26(m)

b) Tìm m nguyên để phương trình có hai nghiệm nguyên.

Câu 3: (3,5 điểm)

Cho tam giác ABC đều cố định nội tiếp trong đường tròn (O). Đường thẳng d thay đổi nhưng luôn đi qua A và cắt cung nhỏ AB tại điểm thứ hai là E (E A). Đường thẳng d cắt hai tiếp tại B và C của đường tròn (O) lần lượt tại M và N. MC cắt BN tại F. Chứng minh rằng:

a) Tam giác CAN đồng dạng với tam giác BMA, tam giác MBC đồng dạng với tam giác BCN.

b) Tứ giác BMEF là tứ giác nội tiếp.

c) Chứng minh đường thẳng EF luôn đi qua một điểm có định khi d thay đổi nhưng luôn đi qua A.

Câu 4: (1,5 điểm)

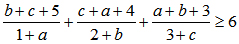
Cho các số thực dương a, b, c thỏa mãn: a + b + c =6.

Chứng minh rằng: . Dấu đẳng thức xảy ra khi nào?

Câu 5: (1,0 điểm)

Cho n là số tự nhiên lớn hơn 1. Chứng minh rằng n4 + 4n là hợp số.

Chọn file muốn tải về:
Đóng Chỉ thành viên VnDoc PRO/PROPLUS tải được nội dung này!
Đóng
79.000 / tháng
Đặc quyền các gói Thành viên
PRO
Phổ biến nhất
PRO+
Tải tài liệu Cao cấp 1 Lớp
30 lượt tải tài liệu
Xem nội dung bài viết
Trải nghiệm Không quảng cáo
Làm bài trắc nghiệm không giới hạn
Mua cả năm Tiết kiệm tới 48%

Có thể bạn quan tâm

Xác thực tài khoản!

Theo Nghị định 147/2024/ND-CP, bạn cần xác thực tài khoản trước khi sử dụng tính năng này. Chúng tôi sẽ gửi mã xác thực qua SMS hoặc Zalo tới số điện thoại mà bạn nhập dưới đây:

Số điện thoại chưa đúng định dạng!
Số điện thoại này đã được xác thực!
Bạn có thể dùng Sđt này đăng nhập tại đây!
Lỗi gửi SMS, liên hệ Admin
Sắp xếp theo
🖼️

Thi học sinh giỏi lớp 9

Xem thêm
🖼️

Gợi ý cho bạn

Xem thêm