Đề thi học sinh giỏi lớp 9 THCS tỉnh Tiền Giang năm 2012 - 2013 môn Toán - Có đáp án
SỞ GIÁO DỤC VÀ ĐÀO TẠO
|
KỲ THI CHỌN HSG LỚP 9 THCS CẤP TỈNH
|
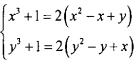
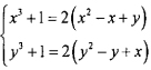
Câu 1: (4,0 điểm)
1. Giải hệ phương trình: 
2. Cho phương trình x4 - 2mx2 + 2m - 1 = 0 (1)
a. Tìm m để (1) có 4 nghiệm x1, x2, x3, x4 thỏa mãn: ![]()
b. Giải phương trình (1) với m vừa tìm được ở a.
Câu 2: (4,0 điểm)
Cho (P): y = x2; (d): y = x + m
Tìm m để (P) và (d) cắt nhau tại hai điểm phân biệt A, B sao cho: tam giác OAB là tam giác vuông
Câu 3: (4,0 điểm)
1. Cho 4 số a, b, c, d thỏa mãn điều kiện: a + b + c + d =
2. Chứng minh rằng: a2 + b2 + c2 + d2 ≥ 1
2. Cho m # -1 và a3 - 3a2 + 3a(m + 1) - (m + 1)2 = 0.
Hãy tìm giá trị nhỏ nhất (GTNN) của a.
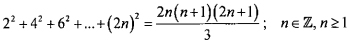
Câu 4: (3,0 điểm)
Chứng minh rằng: ![]()
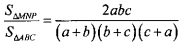
Câu 5: (5,0 điểm)
Cho tam giác ABC có các phân giác trong các góc nhọn BAC, ACB, CBA theo thứ tự cắt các cạnh đối tại các điểm M, P, N. Đặt a = BC, b = CA, c = AB; SΔMNP, SΔABC theo thứ tự là diện tích của tam giác MNP và tam giác ABC.
a. Chứng minh rằng: ![]()
b. Tìm giá trị lớn nhất (GTLN) của
.