Giao diện mới của VnDoc Pro: Dễ sử dụng hơn - chỉ tập trung vào lớp bạn quan tâm. Vui lòng chọn lớp mà bạn quan tâm: Lưu và trải nghiệm
Đóng
Điểm danh hàng ngày
  • Hôm nay +3
  • Ngày 2 +3
  • Ngày 3 +3
  • Ngày 4 +3
  • Ngày 5 +3
  • Ngày 6 +3
  • Ngày 7 +5
Bạn đã điểm danh Hôm nay và nhận 3 điểm!
Nhắn tin Zalo VNDOC để nhận tư vấn mua gói Thành viên hoặc tải tài liệu Hotline hỗ trợ: 0936 120 169

Đề thi học sinh giỏi tỉnh Nghệ An năm 2011 - 2012 môn Toán lớp 12 Bổ túc THPT

Lớp: Lớp 12
Dạng tài liệu: Đề thi HSG
Loại File: Word
Phân loại: Tài liệu Tính phí

Để chuẩn bị cho kỳ thi chọn học sinh giỏi, Vndoc.com xin giới thiệu đến các bạn: Đề thi học sinh giỏi tỉnh Nghệ An năm 2011 - 2012 môn Toán lớp 12 Bổ túc THPT.

Đề thi học sinh giỏi môn Toán:

SỞ GIÁO DỤC VÀ ĐÀO TẠO
TỈNH NGHỆ AN


(ĐỀ THI CHÍNH THỨC)

KỲ THI CHỌN HỌC SINH GIỎI CẤP TỈNH LỚP 12
NĂM HỌC 2011 - 2012
MÔN THI: TOÁN - LỚP 12 BT THPT

(Thời gian làm bài 180 phút không kể thời gian giao đề)


Câu I (5,0 điểm).

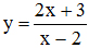
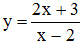
Cho hàm số: .

1. Khảo sát sự biến thiên và vẽ đồ thị (C) của hàm số đã cho.

2. Tìm m để đường thẳng y = 2x + m cắt (C) tại 2 điểm phân biệt A và B sao cho .

Câu II (3,0 điểm).

Tìm giá trị lớn nhất, nhỏ nhất của hàm số:

Câu III (4,0 điểm).

1. Giải phương trình:

2. Giải phương trình:

Câu IV (2,0 điểm).

Tìm tất cả các giá trị của m để phương trình sau có nghiệm: cos2x + mcosx + 2m + 1 = 0.

Câu V (6,0 điểm).

Cho hình chóp S.ABC có đáy ABC vuông tại B, AC = 2a, AB = a. Cạnh SA vuông góc với mặt phẳng (ABC) và SA = 2a. Gọi M là trung điểm của SC; N là hình chiếu vuông góc của A lên SB.

a) Chứng minh đường thẳng SC vuông góc với mặt phẳng (AMN).

b) Tính thể tích của khối chóp S.AM

Chọn file muốn tải về:
Đóng Chỉ thành viên VnDoc PRO/PROPLUS tải được nội dung này!
Đóng
79.000 / tháng
Đặc quyền các gói Thành viên
PRO
Phổ biến nhất
PRO+
Tải tài liệu Cao cấp 1 Lớp
30 lượt tải tài liệu
Xem nội dung bài viết
Trải nghiệm Không quảng cáo
Làm bài trắc nghiệm không giới hạn
Mua cả năm Tiết kiệm tới 48%
1

Có thể bạn quan tâm

Xác thực tài khoản!

Theo Nghị định 147/2024/ND-CP, bạn cần xác thực tài khoản trước khi sử dụng tính năng này. Chúng tôi sẽ gửi mã xác thực qua SMS hoặc Zalo tới số điện thoại mà bạn nhập dưới đây:

Số điện thoại chưa đúng định dạng!
Số điện thoại này đã được xác thực!
Bạn có thể dùng Sđt này đăng nhập tại đây!
Lỗi gửi SMS, liên hệ Admin
Sắp xếp theo
🖼️

Thi học sinh giỏi lớp 12

Xem thêm
🖼️

Gợi ý cho bạn

Xem thêm